精英家教网 > 高中数学 > 题目详情

设函数,且表示不超过实数的最大整数,则函数的值域是__________.

 

【答案】

.

【解析】

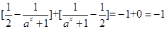
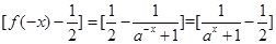
试题分析:由题意

时,

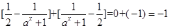
时,

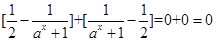
时,.

考点:函数解析式.

 

练习册系列答案
相关习题

科目:高中数学 来源:2015届浙江省绍兴市高一上学期阶段性考试数学试卷(解析版) 题型:填空题

设函数,若用表示不超过实数的最大整数,则函数的值域为___ __________.

 

查看答案和解析>>

科目:高中数学 来源:2012-2013学年江西省吉安市白鹭洲中学高三(上)第一次月考数学试卷(文科)(解析版) 题型:选择题

设函数,其中[x]表示不超过x的最大整数,如[-1.2]=-2,[1.2]=1,[1]=1,若f(x)=kx+k(k>0)有三个不同的根,则实数k的取值范围是( )
A.
B.
C.
D.

查看答案和解析>>

科目:高中数学 来源:2011-2012学年黑龙江省绥化九中高二(上)能力提高数学试卷2(理科)(解析版) 题型:选择题

设函数,其中[x]表示不超过x的最大整数,如[-1.2]=-2,[1.2]=1,[1]=1,若f(x)=kx+k(k>0)有三个不同的根,则实数k的取值范围是( )
A.
B.
C.
D.

查看答案和解析>>

科目:高中数学 来源:2011年广东省深圳市高级中学高考数学最后模拟试卷(理科)(解析版) 题型:选择题

设函数,其中[x]表示不超过x的最大整数,如[-1.2]=-2,[1.2]=1,[1]=1,若f(x)=kx+k(k>0)有三个不同的根,则实数k的取值范围是( )
A.
B.
C.
D.

查看答案和解析>>

同步练习册答案