精英家教网 > 高中数学 > 题目详情

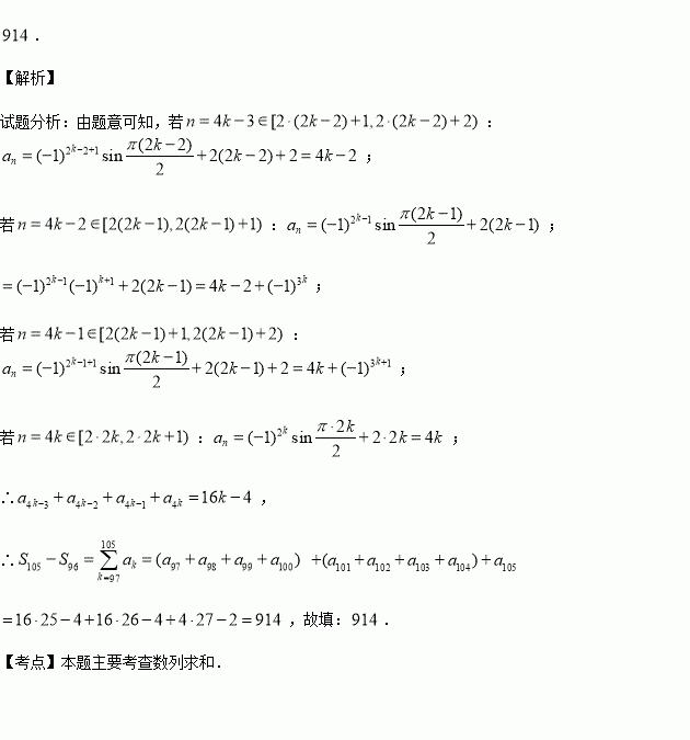
已知函数),若数列满足,数列的前项和为________.

练习册系列答案
相关习题

科目:高中数学 来源:2016届河南省南阳、周口、驻马店等六市高三第一次联考文科数学试卷(解析版) 题型:填空题

已知,则的值是________.

查看答案和解析>>

科目:高中数学 来源:2016届河南省郑州市高三第二次模拟考试理科数学试卷(解析版) 题型:解答题

已知函数.

(1)若,求函数的单调区间;

(2)若,则当时,函数的图像是否总在直线上方?请写出判断过程.

查看答案和解析>>

科目:高中数学 来源:2016届河南省郑州市高三第二次模拟考试理科数学试卷(解析版) 题型:选择题

某程序框图如图所示,则该程序运行后输出的值是( )

A. B. C. D.

查看答案和解析>>

科目:高中数学 来源:2016届河南省南阳、周口、驻马店等六市高三第一次联考理科数学试卷(解析版) 题型:解答题

已知函数,其中

(1)若在其定义域内为增函数,求实数的取值范围;

(2)若函数的图像交轴于两点,中点横坐标为,问:函数在点处的切线能否平行于轴?

查看答案和解析>>

科目:高中数学 来源:2016届河南省南阳、周口、驻马店等六市高三第一次联考理科数学试卷(解析版) 题型:选择题

一矩形的一边在轴上,另两个顶点在函数的图像上,如图,则此矩形绕轴旋转而成的几何体的体积的最大值是( )

A. B. C. D.

查看答案和解析>>

科目:高中数学 来源:2016届河南省南阳、周口、驻马店等六市高三第一次联考理科数学试卷(解析版) 题型:选择题

向量均为非零向量,,则的夹角为( )

A. B. C. D.

查看答案和解析>>

科目:高中数学 来源:2016届河北省石家庄市高三复习教学质量检测二文科数学试卷(解析版) 题型:选择题

,且满足,则的取值范围为( )

A. B. C. D.

查看答案和解析>>

科目:高中数学 来源:2016年甘肃省兰州市高三实战考试文科数学试卷(解析版) 题型:解答题

根据我国发布的《环境空气质量只收(AQI)技术规定》:空气质量指数划分为0~50、51~100、101~150、151~200、201~300和大于300共六级,分别对应空气质量指数的六个级别,指数越大,级别越高,说明污染越严重,对人体健康的影响也越明显. 专家建议:当空气质量指数小于150时,可以户外运动;空气质量指数151及以上,不适合进行旅游等户外活动.以下是某市2015年12月中旬的空气质量指数情况:

(1)求12月中旬市民不适合进行户外活动的概率;

(2)一外地游客在12月中旬来此城市旅游,想连续游玩两天,求适合旅游的概率.

查看答案和解析>>

同步练习册答案