精英家教网 > 高中数学 > 题目详情

已知等差数列满足:.的前n项和为.

(Ⅰ)求 及

(Ⅱ)若 ,),求数列的前项和.

 

【答案】

(Ⅰ), (Ⅱ)=

【解析】

试题分析:(Ⅰ)设出首项a1和公差d   ,利用等差数列通项公式,就可求出,再利用等差数列前项求和公式就可求出;(Ⅱ)由(Ⅰ)知,再利用 ,),就可求出,再利用错位相减法就可求出.

试题解析:(Ⅰ)设等差数列{an}的首项为a1,公差为d

,  ∴   解得

 ∴ ,

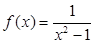
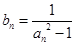
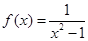
(Ⅱ)∵ ,    ∴

 ∵     ∴

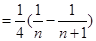
 ∴  

  

= (1- + - +…+-)

=(1-)  =

所以数列的前项和= .

考点:1.等差数列的通项公式; 2. 等差数列的前n项和公式; 3.裂项法求数列的前n项和公式

 

练习册系列答案
相关习题

科目:高中数学 来源: 题型:

(本小题满分12分)

已知等差数列满足:的前n项和为

(Ⅰ)求

(Ⅱ)令bn=(nN*),求数列的前n项和

查看答案和解析>>

科目:高中数学 来源:2015届辽宁省东北育才双语学校高一下学期期中考试数学试卷(解析版) 题型:填空题

已知等差数列满足,则的值为        .

 

查看答案和解析>>

科目:高中数学 来源:2011-2012学年山东省高三12月月考理科数学试卷 题型:填空题

已知等差数列满足:,该数列的前三项分别加上后顺次成为等比数列 的前三项. 求数列的通项公式=____________

 

查看答案和解析>>

科目:高中数学 来源:2010年江西省高二上学期期中考试数学卷 题型:解答题

(本小题满分14分)

已知等差数列满足,的前n项和为。(1)求

(2)令 ,求数列的前n项和

 

查看答案和解析>>

科目:高中数学 来源:2010-2011年河北省高二下学期期末考试文科数学 题型:选择题

(原创)已知等差数列满足,则的值为(     )

A             B.             C.           D.

 

查看答案和解析>>

同步练习册答案