精英家教网 > 高中数学 > 题目详情

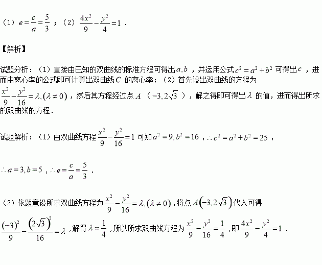
已知双曲线的方程为:

(1)求双曲线的离心率;

(2)求与双曲线有公共的渐近线,且经过点)的双曲线的方程.

练习册系列答案
相关习题

科目:高中数学 来源:2016届山东省枣庄市高三12月月考文科数学试卷(解析版) 题型:选择题

若函数的图象如右图所示,则下列函数正确的是( )

A. B. C. D.

查看答案和解析>>

科目:高中数学 来源:2016届福建省高三上第二次月考文科数学试卷(解析版) 题型:选择题

,则( )

A. B. C. D.

查看答案和解析>>

科目:高中数学 来源:2015-2016学年辽宁省高二上期中文科数学试卷(解析版) 题型:解答题

已知过点的直线交抛物线两点,直线轴于点

(1)设直线的斜率分别为,求的值;

(2)点为抛物线上异于的任意一点,直线交直线两点,,求抛物线的方程.

查看答案和解析>>

科目:高中数学 来源:2015-2016学年辽宁省高二上期中理科数学试卷(解析版) 题型:解答题

已知“,使等式成立”是真命题.

(1)求实数的取值集合

(2)设不等式解集为,若的必要条件,求实数的取值范围.

查看答案和解析>>

科目:高中数学 来源:2015-2016学年辽宁省葫芦岛市高二上期中理科数学卷(解析版) 题型:选择题

在命题“若抛物线的开口向下,则”的逆命题、否命题和逆否命题中( )

A.都真 B.都假 C.否命题真 D.逆否命题真

查看答案和解析>>

科目:高中数学 来源:2015-2016学年江西省高一创新上期中数学卷(解析版) 题型:填空题

已知一个三棱锥的正视图和俯视图如图所示,其中俯视图是顶角为的等腰三角形,则该三棱锥的侧视图面积为

查看答案和解析>>

科目:高中数学 来源:2015-2016学年江西省高二上期中文科数学试卷(解析版) 题型:选择题

已知分别为双曲线的左、右焦点,P为双曲线右支上的任意一点,若的最小值为8,则双曲线的离心率的取值范围是( )

A. B. C. D.

查看答案和解析>>

科目:高中数学 来源:2015-2016学年广东汕头金山中学高二上12月考理数学卷(解析版) 题型:填空题

与椭圆有相同的焦点,且过点(-3,2)的椭圆方程为___________.

查看答案和解析>>

同步练习册答案