精英家教网 > 高中数学 > 题目详情

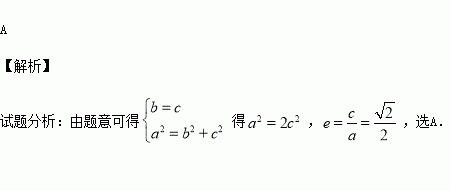
已知椭圆的左、右两个焦点和上下两个顶点都在圆上,则椭圆的离心率为( )

A. B. C. D.

练习册系列答案
相关习题

科目:高中数学 来源:2015-2016学年河北省高一4月月考数学试卷(解析版) 题型:解答题

已知数列的前项和

(1)求数列的通项公式;

(2)若数列是等比数列,公比为,求数列的前项和

查看答案和解析>>

科目:高中数学 来源:2015-2016学年广西陆川中学高一下周测5理科数学试卷(解析版) 题型:选择题

已知角的终边上有一点,则的值为( )

A.1 B. C.-1 D.-4

查看答案和解析>>

科目:高中数学 来源:2016届云南省高三第八次考前训练文科数学试卷(解析版) 题型:解答题

已知函数.

(1)求函数的单调递增区间;

(2)在中,分别是角的对边,,求面积的最大值.

查看答案和解析>>

科目:高中数学 来源:2016届云南省高三第八次考前训练文科数学试卷(解析版) 题型:选择题

执行如图所示的程序框图,则输出的结果是( )

A.29 B.30 C.31 D.32

查看答案和解析>>

科目:高中数学 来源:2015-2016学年福建省高二下培优补差文科数学卷(解析版) 题型:解答题

,其中.

(1)当时,求函数在区间上的最大值;

(2)当时,若恒成立,求的取值范围.

查看答案和解析>>

科目:高中数学 来源:2015-2016学年福建省高二下培优补差文科数学卷(解析版) 题型:填空题

观察下列各式:……,则 .

查看答案和解析>>

科目:高中数学 来源:2015-2016学年江西省高一下期中数学试卷(解析版) 题型:解答题

在制定投资计划时,不仅要考虑能获得的盈利,而且还要考虑可能出现的亏损,现有甲、乙两个项目进 行招商,要求两个项目投资总额不能低于万元,根据预测,甲、乙项目可能最大盈利率分别为,可能最大亏损率分别为.张某现有资金万元准备投资这两个项目,且要求可能的资金亏损不超过万元.设张某对甲、乙 两个项目投资金额分别为万元和万元,可能最大盈利为万元.问:张某对甲、乙两个项目各投资多少万元,才能使可能的盈利最大?并求出盈利的最大值.

查看答案和解析>>

科目:高中数学 来源:2016届海南省高三考前模拟十二文科数学试卷(解析版) 题型:选择题

是虚数单位,若,则( )

A. B. C. D.

查看答案和解析>>

同步练习册答案