精英家教网 > 高中数学 > 题目详情

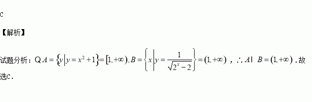
设集合,则( )

A. B. C. D.

练习册系列答案
相关习题

科目:高中数学 来源:2016届福建省高三下学期周考六理科数学试卷(解析版) 题型:解答题

选修4-5:不等式选讲

,且.

(1)求的最小值;

(2)是否存在,使得?并说明理由.

查看答案和解析>>

科目:高中数学 来源:2016届贵州省高三第十次月考文科数学试卷(解析版) 题型:选择题

已知一个几何体的三视图如图所示,则该几何体的体积为( )

A. B.

C. D.

查看答案和解析>>

科目:高中数学 来源:2016届安徽师大附中高三最后一卷理科数学试卷(解析版) 题型:填空题

命题“”的否定是

查看答案和解析>>

科目:高中数学 来源:2016届安徽师大附中高三最后一卷理科数学试卷(解析版) 题型:选择题

如图是一个多面体三视图,它们都是斜边长为的等腰,则这个多面体最长一条棱长为( )

A. B. C. D.

查看答案和解析>>

科目:高中数学 来源:2016届安徽师大附中高三最后一卷文科数学试卷(解析版) 题型:解答题

国内某知名大学有男生 人,女生人.该校体育学院想了解本校学生的运动状况,根据性别采取分层抽样的方法从全校学生中抽取人,统计他们平均每天运动的时间,如下表:(平均每天运动的时间单位:小时,该校学生平均每天运动的时间范围是.)

男生平均每天运动的时间分布情况:

平均每天运动的时间

人数

女生平均每天运动的时间分布情况:

平均每天运动的时间

人数

(1)请根据样本估算该校男生平均每天运动的时间(结果精确到);

(2)若规定平均每天运动的时间不少于小时的学生为“运动达人”,低于小时的学生为“非运动达人”.

①根据样本估算该校“运动达人”的数量;

②请根据上述表格中的统计数据填写下面列联表,并通过计算判断能否在犯错误的概率不超过的前提下认为“是否为‘运动达人’与性别有关?”

运动达人

非运动达人

总计

男生

女生

总计

参考公式:, 其中

参考数据:

查看答案和解析>>

科目:高中数学 来源:2016届安徽师大附中高三最后一卷文科数学试卷(解析版) 题型:选择题

在正方体中,,点在球上,球的另一个交点为,且,则球的表面积为( )

A. B. C. D.

查看答案和解析>>

科目:高中数学 来源:2015-2016学年吉林省高一下期中数学试卷(解析版) 题型:填空题

若△ABC的内角满足,则的最小值是

查看答案和解析>>

科目:高中数学 来源:2016届重庆一中高三下学期高考适应性考试理科数学试卷(解析版) 题型:解答题

选修4-4:坐标系与参数方程

在直角坐标系中,设倾斜角为的直线为参数)与曲线为参数)相交于不同两点

(1)若,求线段中点的坐标;

(2)若,其中,求直线的斜率.

查看答案和解析>>

同步练习册答案