精英家教网 > 高中数学 > 题目详情

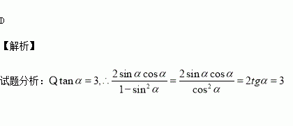
的值为( )

A.2 B.3 C.4 D.6

练习册系列答案
相关习题

科目:高中数学 来源:2016届辽宁省沈阳市高三上学期期中文科数学试卷(解析版) 题型:选择题

在△ABC中,分别为∠A,∠B,∠C的对边,且,若向量平行,且sinB=,当△ABC的面积为时,则b=( )

A. B.2 C.4 D.2+

查看答案和解析>>

科目:高中数学 来源:2015-2016学年江苏省高一10月月考数学试卷(解析版) 题型:填空题

设函数的定义域为D,若存在非零实数m满足对任意 ,均有,且,则称上的m高调函数.如果定义域为R的函数是奇函数,当x≥0时,,且为R上的8高调函数,那么实数a的取值范围是

查看答案和解析>>

科目:高中数学 来源:2015-2016学年湖北孝感高中高二上学期期中文科数学试卷(解析版) 题型:选择题

下列关于概率的理解中正确的命题的个数是

①掷10次硬币出现4次正面,所以掷硬币出现正面的概率是0.4;

②某种体育彩票的中奖概率为,则买1000张这种彩票一定能中奖;

③孝感气象台预报明天孝感降雨的概率为70%是指明天孝感有70%的区域下雨,30%的区域不下雨.

A.0 B.1 C.2 D.3

查看答案和解析>>

科目:高中数学 来源:2015-2016学年湖北孝感高中高二上学期期中理科数学试卷(解析版) 题型:选择题

从装有个红球和个黑球的口袋内任取个球,那么互斥而不对立的两个事件是

A.至少有一个黑球与都是黑球

B.至少有一个红球与都是黑球

C.至少有一个黑球与至少有个红球

D.恰有个黑球与恰有个黑球

查看答案和解析>>

科目:高中数学 来源:2015-2016学年广东广州执信中学高一上学期期中数学试卷(解析版) 题型:选择题

把函数的图象向左平移个单位,再向上平移个单位后,所得函数的解析式应为( )

A. B. C. D.

查看答案和解析>>

科目:高中数学 来源:2015-2016学年安徽省蚌埠市高一上学期期中数学试卷(解析版) 题型:选择题

下列函数表示同一函数的是( )

A.

B.

C.

D.

查看答案和解析>>

科目:高中数学 来源:2016届黑龙江牡丹江一中高三10月月考文数学试卷(解析版) 题型:选择题

已知f(x)=2sin(ωx+φ)的部分图像如图所示,则f(x)的表达式为( )

A.f(x)=2sin(x+

B.f(x)=2sin(x+

C.f(x)=2sin(x+

D.f(x)=2sin(x+

查看答案和解析>>

科目:高中数学 来源:2015-2016学年黑龙江哈尔滨师大附中高二上期中文数学卷(解析版) 题型:解答题

直线过点,且与轴,轴分别交于两点.

(Ⅰ)若点恰为线段的中点,求直线的方程;

(Ⅱ)若,求直线的方程.

查看答案和解析>>

同步练习册答案