精英家教网 > 高中数学 > 题目详情
椭圆+=1(a>b>0)上两点A,B与中心O的连线互相垂直,则=   
【答案】分析:可利用直线OA,OB方程与椭圆方程联立求A,B点坐标满足的一元方程,进而求出A,B的横纵坐标的平方,代入化简即可.
解答:解:设当直线OA斜率存在且不为0时,设方程为y=kx,
∵A,B分别为椭圆上的两点,且OA⊥OB.∴直线OB方程为y=-x
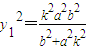
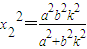
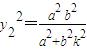
设A(x1,y1),B(x2,y2),把y=kx代入+=1得 X12=,∴
把y=-x代入+=1得   ,∴
==+=
当直线OA,OB其中一条斜率不存在时,则另一条斜率为0此时=
综上,=
故答案为:
点评:本题主要考查椭圆的基本性质.解决本题的关键在于整理过程不能出错.
练习册系列答案
相关习题

科目:高中数学 来源: 题型:

已知椭圆=1(ab>0)的离心率为,则椭圆方程为(  )

A.=1

B.=1

C.=1

D.=1

查看答案和解析>>

科目:高中数学 来源: 题型:

已知P是椭圆+=1(a>b>0)上任意一点,P与两焦点连线互相垂直,且P到两准线距离分别为6、12,则椭圆方程为______________________.

查看答案和解析>>

科目:高中数学 来源:2012-2013学年辽宁省铁岭市开原市高二(上)期末数学试卷(理科)(解析版) 题型:解答题

如图,椭圆=1(a>b>0)与过A(2,0),B(0,1)的直线有且只有一个公共点T,且椭圆的离心率e=
(1)求椭圆方程;
(2)设F1、F2分别为椭圆的左、右焦点,M为线段AF2的中点,求tan∠ATM.

查看答案和解析>>

科目:高中数学 来源:2009-2010学年陕西省延安市实验中学高二(下)期中数学试卷(理科)(解析版) 题型:解答题

如图,椭圆=1(a>b>0)与过点A(2,0)B(0,1)的直线有且只有一个公共点T,且椭圆的离心率e=
(Ⅰ)求椭圆方程;
(Ⅱ)设F1、F2分别为椭圆的左、右焦点,M为线段AF1的中点,求证:∠ATM=∠AF1T.

查看答案和解析>>

科目:高中数学 来源:2012年安徽省合肥八中高考数学一模试卷(理科)(解析版) 题型:解答题

已知椭圆+=1(a>b>0)的中心为O,右焦点为F、右顶点为A,右准线与x轴的交点为H,则的最大值为   

查看答案和解析>>

同步练习册答案