科目:高中数学 来源: 题型:
| x | 2 |
| π |
| 4 |
查看答案和解析>>
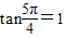
科目:高中数学 来源:2010年河南省高二上学期12月份考试数学卷(文理) 题型:选择题
x=2R
+
(R∈z)是tanx=1成立的
A、充分不必要条件 B、必要不充分条件
C、充要条件 D、既不充分也不必要条件
查看答案和解析>>
湖北省互联网违法和不良信息举报平台 | 网上有害信息举报专区 | 电信诈骗举报专区 | 涉历史虚无主义有害信息举报专区 | 涉企侵权举报专区
违法和不良信息举报电话:027-86699610 举报邮箱:58377363@163.com