精英家教网 > 高中数学 > 题目详情

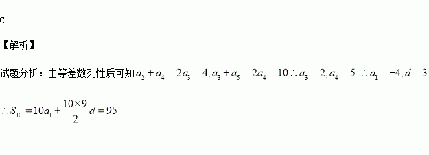
已知等差数列{an}满足a2+a4=4, a3+a5=10,则它的前10项的和S10=( )

A.138 B.135 C.95 D.23

练习册系列答案
相关习题

科目:高中数学 来源:2015-2016学年广东中山一中高二上第一次段考理科数学卷(解析版) 题型:选择题

数列满足,,则此数列的第5项是( )

(A)15 (B)255 (C)20 (D)8

查看答案和解析>>

科目:高中数学 来源:2015-2016学年广西钦州港开发区中学高二上第一次月考理科数学试卷(解析版) 题型:填空题

是三个正数中的最大的数,且,则的大小关系是_______________.

查看答案和解析>>

科目:高中数学 来源:2015-2016学年广东省高一下学期期初考试数学试卷(解析版) 题型:选择题

设函数,则的值域是( )

(A)

(B)

(C)

(D)

查看答案和解析>>

科目:高中数学 来源:2015-2016学年福建省四地六校高一上学期10月第一次联考数学试卷(解析版) 题型:选择题

已知是从的映射,若3和7的原象分别是5和9,则6在下的象是( )

A.3 B.4 C.5 D.6

查看答案和解析>>

科目:高中数学 来源:2015-2016学年安徽省合肥市高二上开学考试理科数学试卷(解析版) 题型:选择题

已知各项不为0的等差数列{an}满足,数列{bn}是等比数列,且,则等于( )

A.1 B.2 C.4 D.8

查看答案和解析>>

科目:高中数学 来源:2015-2016学年甘肃天水秦安二中高二上学期第一次月考文科数学试卷(解析版) 题型:解答题

(本题满分12分) 给出30个数:1,2,4,7,…,其规律是:第1个数是1,第2个数比第1个数大1,第3个数比第2个数大2,第4个数比第3个数大3,依此类推.要计算这30个数的和,现已给出了该问题算法的程序框图(如图所示):

(1)图中①处和②处应填上什么语句,使之能完成该题算法功能;

(2)根据程序框图写出程序.

查看答案和解析>>

科目:高中数学 来源:2015-2016学年广东省高二9月阶段测试文科数学试卷(解析版) 题型:填空题

某中学的“希望工程”募捐小组暑假期间走上街头进行一次募捐活动,共获得捐款

1200元。他们第1天只得到10元,之后采取了积极措施,从第2天起,每1天获得的捐款比前1天多10元,这次募捐活动一共进行了 天.

查看答案和解析>>

科目:高中数学 来源:2015-2016学年吉林省高二上学期第一次月考文科数学试卷(解析版) 题型:解答题

ABCD是梯形,AB∥CD,且AB=2CD,M、N分别是DC和AB的中点,已知,试用表示

查看答案和解析>>

同步练习册答案