精英家教网 > 高中数学 > 题目详情

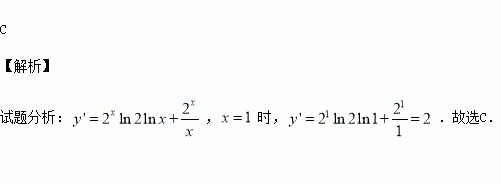
函数的图像在处切线的斜率为( )

A. B. C. D.

练习册系列答案
相关习题

科目:高中数学 来源:2015-2016学年广西桂林十八中高二下期中文科数学试卷(解析版) 题型:选择题

已知双曲线的离心率为,则双曲线的渐近线方程为

A. B.

C. D.

查看答案和解析>>

科目:高中数学 来源:2015-2016学年黑龙江省高二下期中文数学试卷(解析版) 题型:选择题

方程的实根个数是( )

A.3 B.2 C.1 D.0

查看答案和解析>>

科目:高中数学 来源:2015-2016学年黑龙江省高二下期中理数学试卷(解析版) 题型:填空题

函数的单调减区间为

查看答案和解析>>

科目:高中数学 来源:2015-2016学年黑龙江省高二下期中理数学试卷(解析版) 题型:选择题

过点且与直线为参数)互相垂直的直线方程为( )

A. B. C. D.

查看答案和解析>>

科目:高中数学 来源:2015-2016学年黑龙江大庆一中高二下第二次段考文数学卷(解析版) 题型:解答题

已知在等比数列中,.

(1)求数列的通项公式;

(2)设,且数列的前项和,证明:—2.

查看答案和解析>>

科目:高中数学 来源:2015-2016学年黑龙江大庆一中高二下第二次段考文数学卷(解析版) 题型:选择题

已知函数的图象与轴只有一个交点,则实数的取值范围是( )

A. B.

C. D.

查看答案和解析>>

科目:高中数学 来源:2016届辽宁大连八中、二十四中高三联合模拟理数学试卷(解析版) 题型:解答题

四棱锥中,底面为平行四边形,侧面,已知.

(1)设平面与平面的交线为,求证:

(2)求证:

(3)求直线与面所成角的正弦值.

查看答案和解析>>

科目:高中数学 来源:2015-2016学年湖北省高二3月月考理科数学试卷(解析版) 题型:解答题

用分析法证明:.若△ABC的三内角A、B、C成等差数列,求证:+=

查看答案和解析>>

同步练习册答案