精英家教网 > 高中数学 > 题目详情
数列{an}为等差数列,an为正整数,其前n项和为Sn,数列{bn}为等比数列,且a1=3,b1=1,数列是公比为64的等比数列,b2S2=64,
(1)求an,bn
(2)求证
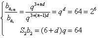
解:(1)设{an}的公差为d,{bn}的公比为q,则d为正整数,

依题意有,①
知q为正有理数,故d为6的因子1,2,3,6之一,
解①得d=2,q=8,

(2)


练习册系列答案
相关习题

科目:高中数学 来源: 题型:

7、已知数列{an}的前n项和为Sn,若S1=1.S2=2,且Sn+1-3Sn+2Sn-1=0,(n∈N*,n≥2,则此数列为(  )

查看答案和解析>>

科目:高中数学 来源: 题型:

把公差为2的等差数{an}的各项依次插入等比数{bn}中,{bn}按原顺序分成1项,2项,4项,…2n-1项的各组,得到数列{cn}:b1,a1,b2,b3,a2,b4,b5,b6,b7,a3,…,数列{cn}的前n项的和sn.若c1=1,c2=2,S3=
13
4
.则数{cn}的前100项之和S100=
1
3
[130-(
1
2
)
186
]
1
3
[130-(
1
2
)
186
]

查看答案和解析>>

科目:高中数学 来源:不详 题型:单选题

已知数列{an}的前n项和为Sn,若S1=1.S2=2,且Sn+1-3Sn+2Sn-1=0,(n∈N*,n≥2,则此数列为(  )
A.等差数B.等比数列
C.从第二项起为等差数列D.从第二项起为等比数列

查看答案和解析>>

科目:高中数学 来源:不详 题型:填空题

把公差为2的等差数{an}的各项依次插入等比数{bn}中,{bn}按原顺序分成1项,2项,4项,…2n-1项的各组,得到数列{cn}:b1,a1,b2,b3,a2,b4,b5,b6,b7,a3,…,数列{cn}的前n项的和sn.若c1=1,c2=2,S3=
13
4
.则数{cn}的前100项之和S100=______.

查看答案和解析>>

科目:高中数学 来源:2008-2009学年北京101中学高三(上)9月统考数学试卷(理科)(解析版) 题型:选择题

已知数列{an}的前n项和为Sn,若S1=1.S2=2,且Sn+1-3Sn+2Sn-1=0,(n∈N*,n≥2,则此数列为( )
A.等差数
B.等比数列
C.从第二项起为等差数列
D.从第二项起为等比数列

查看答案和解析>>

同步练习册答案