精英家教网 > 高中数学 > 题目详情
已知椭圆的离心率为,直线l:y=x+2与以原点为圆心、椭圆C1的短半轴长为半径的圆O相切.
(1)求椭圆C1的方程;
(2)设椭圆C1的左焦点为F1,右焦点为F2,直线l1过点F1,且垂直于椭圆的长轴,动直线l2垂直于l1,垂足为点P,线段PF2的垂直平分线交l2于点M,求点M的轨迹C2的方程;
(3)过椭圆C1的左顶点A做直线m,与圆O相交于两点R、S,若△ORS是钝角三角形,求直线m的斜率k的取值范围.
【答案】分析:(1)先由离心率为 ,求出a,b,c的关系,再利用直线l:y=x+2与以原点为圆心、椭圆C1的短半轴长为半径的圆相切,求出b即可求椭圆C1的方程;
(2)把题中条件转化为动点M的轨迹是以l1:x=-1为准线,F2为焦点的抛物线,即可求点M的轨迹C2的方程;
(3)先设出点R,S的坐标,利用△ORS是钝角三角形,求得,从而求出斜率k的取值范围.
解答:解:(1)由;(2分)
由直线
所以椭圆的方程是.(4分)
(2)由条件,知|MF2|=|MP|.即动点M到定点F2的距离等于它到直线l1:x=-1的距离,由抛物线的定义得点M的轨迹C2的方程是y2=4x.                     (8分)
(3)由(1),得圆O的方程是

(10分)

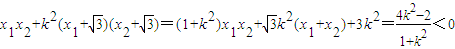
.①(12分)
因为=
所以.②(13分)
由A、R、S三点不共线,知k≠0.                              ③
由①、②、③,得直线m的斜率k的取值范围是(14分)
(注:其它解法相应给分)
点评:本题是对圆与椭圆知识的综合考查.当直线与圆相切时,可以利用圆心到直线的距离等于半径求解.,也可以把直线与圆的方程联立让对应方程的判别式为0求解.
练习册系列答案
相关习题

科目:高中数学 来源: 题型:

已知椭圆的离心率为e,两焦点分别为F1、F2,抛物线C以F1为顶点、F2为焦点,点P为抛物线和椭圆的一个交点,若e|PF2|=|PF1|,则e的值为(  )
A、
1
2
B、
2
2
C、
3
3
D、以上均不对

查看答案和解析>>

科目:高中数学 来源: 题型:

已知椭圆的离心率为
1
2
,焦点是(-3,0),(3,0),则椭圆方程为(  )
A、
x2
36
+
y2
27
=1
B、
x2
36
-
y2
27
=1
C、
x2
27
+
y2
36
=1
D、
x2
27
-
y2
36
=1

查看答案和解析>>

科目:高中数学 来源: 题型:

如图,在由圆O:x2+y2=1和椭圆C:
x2
a2
+y2
=1(a>1)构成的“眼形”结构中,已知椭圆的离心率为
6
3
,直线l与圆O相切于点M,与椭圆C相交于两点A,B.
(1)求椭圆C的方程;
(2)是否存在直线l,使得
OA
OB
=
1
2
OM
2
,若存在,求此时直线l的方程;若不存在,请说明理由.

查看答案和解析>>

科目:高中数学 来源: 题型:

(1)已知椭圆的离心率为
2
2
,准线方程为x=±8,求这个椭圆的标准方程;
(2)假设你家订了一份报纸,送报人可能在早上6:30-7:30之间把报纸送到你家,你父亲离开家去工作的时间在早上7:00-8:00之间,请你求出父亲在离开家前能得到报纸(称为事件A)的概率.

查看答案和解析>>

科目:高中数学 来源: 题型:

如图,A,B是椭圆C:
x2
a2
+
y2
b2
=1(a>b>0)
的左、右顶点,M是椭圆上异于A,B的任意一点,已知椭圆的离心率为e,右准线l的方程为x=m.
(1)若e=
1
2
,m=4,求椭圆C的方程;
(2)设直线AM交l于点P,以MP为直径的圆交MB于Q,若直线PQ恰过原点,求e.

查看答案和解析>>

同步练习册答案