精英家教网 > 高中数学 > 题目详情

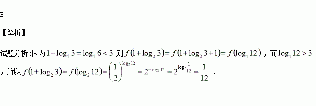
已知函数,则f(1+log23)的值为

A. B. C. D.

练习册系列答案
相关习题

科目:高中数学 来源:2016届湖南师大附中高三月考四文科数学试卷(解析版) 题型:选择题

已知各项不为0的等差数列满足,数列是等比数列,且,则等于( )

A.1 B.2 C.4 D.8

查看答案和解析>>

科目:高中数学 来源:2015-2016学年广东省清远市实验学校高一上学期期中数学试卷(解析版) 题型:填空题

函数则该函数值域为

查看答案和解析>>

科目:高中数学 来源:2016届北京市朝阳区高三上学期期中统一考试理科数学试卷(解析版) 题型:选择题

中,已知分别是边上的三等分点,则的值是( )

A. B. C. D.

查看答案和解析>>

科目:高中数学 来源:2015-2016学年湖北省武汉市高二上学期期中考试数学试卷(解析版) 题型:选择题

若经过点的直线与经过点且斜率为的直线垂直,则的值为( )

A. B. C.10 D.

查看答案和解析>>

科目:高中数学 来源:2016届浙江省绍兴市高三上学期期中文科数学试卷(解析版) 题型:选择题

对两条不相交的空间直线,则( )

A.必定存在平面,使得

B.必定存在平面,使得

C.必定存在直线,使得

D.必定存在直线,使得

查看答案和解析>>

科目:高中数学 来源:2016届山西省高三10月月考文科数学试卷(解析版) 题型:填空题

函数,则此函数的所有零点之和等于

查看答案和解析>>

科目:高中数学 来源:2016届辽宁省沈阳市高三上学期期中理科数学试卷(解析版) 题型:填空题

如图,在棱柱的侧棱上各有一个动点,且满足是棱上的动点,则的最大值是

查看答案和解析>>

科目:高中数学 来源:2015-2016学年吉林省高一上期中文科数学试卷(解析版) 题型:解答题

已知函数,其中是偶函数.

(1)求实数的值;

(2)求函数的定义域;

(3)若函数的图象有且只有一个公共点,求实数的取值范围.

查看答案和解析>>

同步练习册答案