精英家教网 > 高中数学 > 题目详情

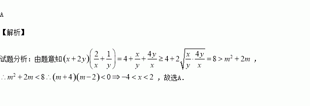
已知,若恒成立,则实数取值范围是( )

A.(-4,2) B.(-2,0) C.(-4,0) D.(0,2)[来源:学

练习册系列答案
相关习题

科目:高中数学 来源:2015-2016学年河北省高一10月月考数学试卷(解析版) 题型:填空题

,则

查看答案和解析>>

科目:高中数学 来源:2015-2016学年广东省高一下学期期初考试数学试卷(解析版) 题型:选择题

设集合,集合,则( )

A. B.4

C.5 D.6

查看答案和解析>>

科目:高中数学 来源:2015-2016学年甘肃天水一中高二上学期第一次段中考试理科数学试卷(解析版) 题型:解答题

(满分10分) 在锐角中,分别为内角所对的边,且满足

(Ⅰ)求角的大小;

(Ⅱ)若,且,求的值.

查看答案和解析>>

科目:高中数学 来源:2015-2016学年甘肃天水秦安二中高二上学期第一次月考文科数学试卷(解析版) 题型:选择题

某班级统计一次数学测试后的成绩,并制成了如下的频率分布表,根据该表估计该班级的数学测试平均分为( )

分组

[60,70)

[70,80)

[80,90)

[90,100)

人数

5

15

20

10

频率

0.1

0.3

0.4

0.2

A.80 B.81 C.82 D.83

查看答案和解析>>

科目:高中数学 来源:2015-2016学年河北省高二上学期第一次月考试数学试卷(解析版) 题型:选择题

,的整数部分用表示,则的值为( )

A、8204 B、8192 C、9218 D、以上都不正确

查看答案和解析>>

科目:高中数学 来源:2015-2016学年广东省高二9月阶段测试文科数学试卷(解析版) 题型:选择题

在△ABC中,,则△ABC一定是( )

A、锐角三角形 B、钝角三角形 C、等腰三角形 D、等边三角形

查看答案和解析>>

科目:高中数学 来源:2015-2016学年陕西省西安市高一第一次月考数学试卷(解析版) 题型:选择题

设集合的范围是( )

A. B. C. D.

查看答案和解析>>

科目:高中数学 来源:2015-2016学年湖北省高二上学期第一次月考文科数学试卷(解析版) 题型:选择题

上与直线的距离等于的点共有( )

A.个 B.个 C.个 D.

查看答案和解析>>

同步练习册答案