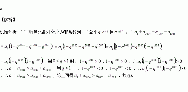
精英家教网 > 高中数学 > 题目详情

已知{}为等比数列,下列判断正确的为( )

A. B.

C. D. 无法确定

练习册系列答案
相关习题

科目:高中数学 来源:2015-2016学年辽宁东北育才学校高二下期中理科数学试卷(解析版) 题型:选择题

为实数,函数的导函数,且是偶函数,则曲线在原点处的切线方程为( )

A. B. C. D.

查看答案和解析>>

科目:高中数学 来源:2016届江苏省高三考前一周双练冲刺四数学试卷(解析版) 题型:解答题

如图,在正三棱柱中,点在边上,.

(1)求证:平面

(2)如果点的中点,求证:平面.

查看答案和解析>>

科目:高中数学 来源:2015-2016学年四川彭州中学高一重点班5月月考数学试卷(解析版) 题型:解答题

某工厂去年某产品的年产量为100万只,每只产品的销售价为10元,固定成本为8元.今年,工厂第一次投入100万元(科技成本),并计划以后每年比上一年多投入100万元(科技成本),预计产量年递增10万只,第n次投入后,每只产品的固定成本为(k>0,k为常数,且n≥0),若产品销售价保持不变,第n次投入后的年利润为万元.

(1)求k的值,并求出的表达式;

(2)问从今年算起第几年利润最高?最高利润为多少万元?

查看答案和解析>>

科目:高中数学 来源:2015-2016学年四川彭州中学高一重点班5月月考数学试卷(解析版) 题型:填空题

已知数列为等差数列,前九项和=18,则=

查看答案和解析>>

科目:高中数学 来源:2015-2016学年四川彭州中学高一重点班5月月考数学试卷(解析版) 题型:选择题

若不等式的解集是,则a,b的值为( )

A., B.,

C., D.,

查看答案和解析>>

科目:高中数学 来源:2015-2016学年河北武邑中学高一下4.17周考数学试卷(解析版) 题型:解答题

已知数列的前项和

(1)求数列的通项公式;

(2)若数是等比数列,公比为,求数列的前项和

查看答案和解析>>

科目:高中数学 来源:2015-2016学年福建省高一下周末练数学试卷(解析版) 题型:解答题

已知,且.

(1)若的夹角;

(2)若,求的值.

查看答案和解析>>

科目:高中数学 来源:2015-2016学年重庆十八中高一下期中理科数学试卷(解析版) 题型:选择题

在等比数列中,,则( )

A. 15 B. 20 C.25 D.40

查看答案和解析>>

同步练习册答案