精英家教网 > 高中数学 > 题目详情

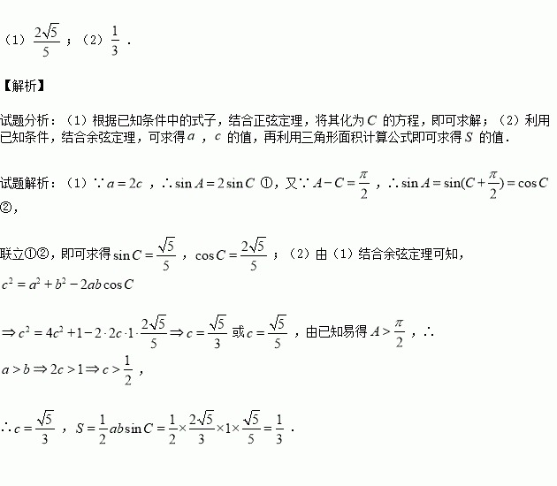
,角所对的边为.已知,且

(1)求的值;

(2)当时,求的面积

练习册系列答案
相关习题

科目:高中数学 来源:2016届福建省高三上学期期中理科数学试卷(解析版) 题型:选择题

设函数,则使得成立的的取值范围是( )

A. B. C. D.

查看答案和解析>>

科目:高中数学 来源:2015-2016学年湖北省高一上学期期中数学试卷(解析版) 题型:选择题

若幂函数的图像过点,则的值为( )

A.6 B.9 C.16 D.27

查看答案和解析>>

科目:高中数学 来源:2015-2016学年甘肃省嘉峪关市高二上学期期中考试文科数学试卷(解析版) 题型:解答题

已知数列满足

(1)令,求证:数列为等比数列;

(2)求数列的通项公式;

(3)求满足的最小正整数

查看答案和解析>>

科目:高中数学 来源:2015-2016学年甘肃省嘉峪关市高二上学期期中考试理科数学试卷(解析版) 题型:解答题

(本小题满分12分)已知公差不为0的等差数列的前项和为成等比数列。

(1)求数列的通项公式;

(2)设,数列的最小项是第几项,并求出该项的值.

查看答案和解析>>

科目:高中数学 来源:2016届浙江宁波效实中学高三上期中考试理科数学试卷(解析版) 题型:解答题

满足,则称的不动点.

(1)若函数没有不动点,求实数的取值范围;

(2)若函数的不动点,求的值;

(3)若函数有不动点,求实数的取值范围.

查看答案和解析>>

科目:高中数学 来源:2016届山东省高三第二次诊断性考试文科数学试卷(解析版) 题型:填空题

若函数的最大值为4,最小值为,则实数的值为

查看答案和解析>>

科目:高中数学 来源:2016届河南省原名校高三上学期第一次联考理科数学试卷(解析版) 题型:选择题

若函数分别是上的奇函数、偶函数,且满足,则( )

A. B.

C. D.

查看答案和解析>>

科目:高中数学 来源:2015-2016学年陕西省高二上学期期中考试数学试卷(解析版) 题型:选择题

数列{}的通项公式是),那么 的大小关系是( )

A. B. C. D.不能确定

查看答案和解析>>

同步练习册答案