精英家教网 > 高中数学 > 题目详情

如图所示,在矩形ABCD中,且AB=1,BC=a,现沿AC折成二面角D-AC-B,使BD⊥AD,BD⊥BC.

(1)求证:平面ABD⊥平面ABC;

(2)a为何值时,二面角D-AC-B为45°?

(3)a为何值时,异面直线AC与BD所成的角为60°?

答案:
解析:

如图,(1)ADCDADBD

AD⊥面BCD

BCAD,又BCBD

BC⊥平面ABD,而BCÌ ABC,故面ABD⊥面ABC

(2)∵面ABD⊥面ABC,作DEABE,则

DE⊥面ABC,作EFACF,可证明ACDF

∴∠DFE为二面角DACB的平面角.

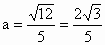
RtADC中,,∴

RtAECRtABC

RtADC中,

RtDEF中,

,∴

(3)BMACM过点BBNACFE的延长线交于点N,则BMFN为矩形,且BNDN.于是∠DBN为异面直线ACBD所成的角.

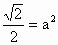
RtCBD中,

RtBND

,解之得

 


提示:

(1)问易证,第(2)问和第(3)问要分别作出平面角和线线角,然后建立含a的方程即可.本题是有关面面角、线线角的逆向问题,关键是作出这些角,然后归结为解有关三角形,难点是计算三角形中有关的线段长.


练习册系列答案
相关习题

科目:高中数学 来源: 题型:

19、如图所示,在矩形ABCD中,AB=4,AD=2,E是CD的中点,O为AE的中点,以AE为折痕将△ADE向上折起,使D到P点位置,且PC=PB,F是BP的中点.
(Ⅰ)求证:CF∥面APE;
(Ⅱ)求证:PO⊥面ABCE.

查看答案和解析>>

科目:高中数学 来源: 题型:

19、如图所示,在矩形ABCD中,AB=4,AD=2,E是CD的中点,O为AE的中点,F是AB的中点.以AE为折痕将△ADE向上折起,使面DAE⊥面ABCE.
(1)求证:OF∥面BDE;
(2)求证:AD⊥面BDE.

查看答案和解析>>

科目:高中数学 来源: 题型:

如图所示,在矩形ABCD中,AB=4,AD=2,E是CD的中点,O为AE的中点,以AE为折痕将
△ADE向上折起,使D到P,且PC=PB
(1)求证:PO⊥面ABCE.(2)求AC与面PAB所成角θ的正弦值.
精英家教网

查看答案和解析>>

科目:高中数学 来源: 题型:

如图所示,在矩形ABCD中,AB=4cm,BC=2cm,在图形上随机撒一粒黄豆,则黄豆落到圆上的概率是
π
8
π
8

查看答案和解析>>

科目:高中数学 来源: 题型:

精英家教网如图所示,在矩形ABCD中,已知AB=a,BC=b.a≤3b,在AB,AD,CD,CB上分别截取AE,AH,CG,CF,且都等于x,则四边形EFGH面积的最大值为
 

查看答案和解析>>

同步练习册答案