精英家教网 > 高中数学 > 题目详情

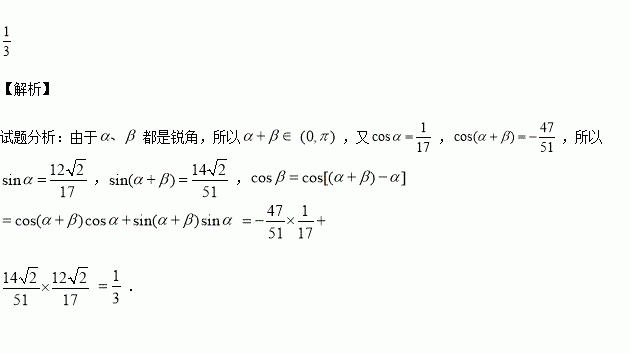
均为锐角,且,则

练习册系列答案
相关习题

科目:高中数学 来源:2015-2016学年江西省高二上第三次理科数学试卷(解析版) 题型:选择题

是由任意个人组成的集合,如果中任意4个人当中都至少有1个人认识

其余3个人,那么,下面的判断中正确的是 ( )

A.中没有人认识中所有的人

B.中至多有2人认识中所有的人

C.中至多有2人不认识中所有的人

D.中至少有1人认识中的所有人

查看答案和解析>>

科目:高中数学 来源:2015-2016学年北大附中河南分校高二宏志班理科数学试卷(解析版) 题型:解答题

命题存在实数;命题对任意恒成立.若为真,为假,试求的取值范围.

查看答案和解析>>

科目:高中数学 来源:2015-2016学年贵州省高一上学期中考试数学试卷(解析版) 题型:解答题

已知函数,若,求实数的值.

查看答案和解析>>

科目:高中数学 来源:2016届浙江省高三上学期期中理科数学试卷(解析版) 题型:选择题

上恒成立,则的最大值为( )

A. B. C. D.

查看答案和解析>>

科目:高中数学 来源:2015-2016学年湖南省、攸县一中高二上期中理科数学试卷(解析版) 题型:填空题

已知各项为正的等比数列中,a3与a2015的等比中项为,则2a4+a2014的最小值为

查看答案和解析>>

科目:高中数学 来源:2015-2016学年山东省新泰市高二上学期期中考试理科数学试卷(解析版) 题型:选择题

设△ABC的内角A,B,C所对的边分别为a,b,c,若,则△ABC的形状为( )

A.锐角三角形 B.直角三角形

C.钝角三角形 D.不确定

查看答案和解析>>

科目:高中数学 来源:2015-2016学年湖北省等四校高二上学期期中理科数学试卷(解析版) 题型:选择题

如图是一算法的程序框图,若此程序运行结果为S=90,则在判断框中应填入关于k的判断条件是( )

A.k≥6? B.k≥7? C.k≥8? D.k≥9?

查看答案和解析>>

科目:高中数学 来源:2016届重庆市高三12月月考文科数学试卷(解析版) 题型:填空题

有一个球心为,半径的球,球内有半径的截面圆,截面圆心为,连接并延长交球面于点,以截面为底,为顶点,可以做出一个圆锥,则圆锥的体积为

查看答案和解析>>

同步练习册答案