精英家教网 > 高中数学 > 题目详情

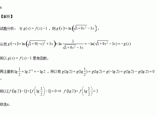
已知函数( )

A. B. C. D.

练习册系列答案
相关习题

科目:高中数学 来源:2015-2016学年湖南衡阳八中高二上第二次月考文科数学卷(解析版) 题型:选择题

.问题:①某地区10000名中小学生,其中高中生2000名,初中生4500名,小学生3500名,现从中抽取容量为200的校本;②从1002件同一生产线生产的产品中抽取20件产品进行质量检查.方法:Ⅰ、简单随机抽样;Ⅱ、分层抽样;Ⅲ、系统抽样.其中问题与方法配对较适宜的是( )

A.①Ⅰ,②Ⅱ

B.①Ⅲ,②Ⅰ

C.①Ⅱ,②Ⅲ

D.①Ⅲ,②Ⅱ

查看答案和解析>>

科目:高中数学 来源:2016届甘肃省高三12月月考文科数学试卷(解析版) 题型:选择题

已知命题p:?x∈R,(m+1)(x2+1)≤0,命题q:?x∈R,x2+mx+1>0恒成立.

若p∧q为假命题,则实数m的取值范围为( )

A.m≥2 B.m≤-2或m>-1

C.m≤-2或m≥2 D.-1<m≤2

查看答案和解析>>

科目:高中数学 来源:2016届福建省高三上学期半期考试理科数学试卷(解析版) 题型:填空题

已知函数的图像如图所示,则

查看答案和解析>>

科目:高中数学 来源:2015-2015学年云南省玉溪市高二上学期期中数学试卷(解析版) 题型:选择题

已知等差数列中,是它的前项和,若,则当最大时,的值为( )

A.8 B.9 C.10 D.16

查看答案和解析>>

科目:高中数学 来源:2015-2016学年四川省实验学校高二上学期期中文科数学试卷(解析版) 题型:填空题

把一个半径为cm的金属球熔成一个圆锥,使圆锥的侧面积为底面积的3倍,则这个圆锥的高为

查看答案和解析>>

科目:高中数学 来源:2015-2016学年山东省济宁市兖州区高一上学期期中考试数学试卷(解析版) 题型:选择题

设函数的定义域为,且是奇函数,是偶函数,则下列结论中正确的( )

A.是偶函数

B. 是奇函数

C. 是奇函数

D.是奇函数

查看答案和解析>>

科目:高中数学 来源:2016届辽宁省抚顺市高三12月月考文科数学试卷(解析版) 题型:解答题

已知函数,则下列说法正确的为( )

A.函数的最小正周期为

B.函数的最大值为

C.函数的图象关于直线对称

D.将图像向右平移个单位长度,再向下平移个单位长度后会得到一个奇函数图像

查看答案和解析>>

科目:高中数学 来源:2015-2016学年安徽省合肥市高一上学期期中数学试卷(解析版) 题型:解答题

(1)计算:

(2)设,求的值.

查看答案和解析>>

同步练习册答案