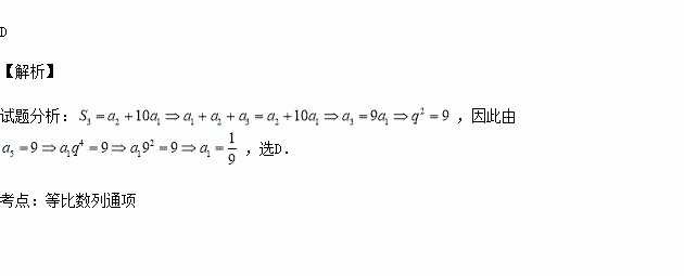
精英家教网 > 高中数学 > 题目详情

等比数列的前n项和为,已知,则 = ( )

A. B. C. D.

练习册系列答案
相关习题

科目:高中数学 来源:2015-2016学年安徽省高一上学期第一次调研考试数学试卷(解析版) 题型:填空题

用列表法表示函数如下:

1

2

3

1

3

1

1

2

3

3

2

1

则满足的值为

查看答案和解析>>

科目:高中数学 来源:2015-2016学年湖南师大附中高二上第一次段测文科数学卷(解析版) 题型:选择题

不等式的解集是( )

A.

B.

C.

D.

查看答案和解析>>

科目:高中数学 来源:2016届江西省高三10月月考文科数学试卷(解析版) 题型:选择题

,则是“a,b,c,d依次成等差数列”的( )

A.充分不必要条件 B.必要不充分条件

C.充要条件 D.既不充分也不必要条件

查看答案和解析>>

科目:高中数学 来源:2016届宁夏银川市高三上学期统练二理科数学试卷(解析版) 题型:解答题

(本题满分10分)选修4-1:几何证明选讲

如图,A,B,C,D四点在同一圆上,AD的延长线与BC的延长线交于E点,且EC=ED.

(1)证明:CD∥AB;

(2)延长CD到F,延长DC到G,使得EF=EG,证明:A,B,G,F四点共圆.

查看答案和解析>>

科目:高中数学 来源:2016届辽宁省抚顺市高三10月月考文科数学试卷(解析版) 题型:选择题

已知函数的最大值为4,最小值为0,最小正周期为,直线是其图像的一条对称轴,则下面各式中符合条件的解析式是( )

A. B.

C. D.

查看答案和解析>>

科目:高中数学 来源:2016届辽宁省抚顺市高三10月月考理科数学试卷(解析版) 题型:选择题

已知复数z满足,则( )

A. B. C. D.

查看答案和解析>>

科目:高中数学 来源:2016届黑龙江省牡丹江市高三10月月考文科数学试卷(解析版) 题型:选择题

已知,则( )

A. B. C. D.

查看答案和解析>>

科目:高中数学 来源:2015-2016学年广东中山一中高二上第一次段考文科数学卷(解析版) 题型:填空题

如图,它满足第n行首尾两数均为n,则第7行第2个数是_________.第n行第2个数是_________.

查看答案和解析>>

同步练习册答案