精英家教网 > 高中数学 > 题目详情

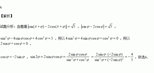
已知函数)的图象关于直线对称,则 ( )

A. B. C. D.

练习册系列答案
相关习题

科目:高中数学 来源:2014-2015学年广东省揭阳市高一下学期第二次段考理科数学试卷(解析版) 题型:填空题

关于函数f(x)=cos+cos,有下列说法:

①y=f(x)的最大值为

②y=f(x)是以π为最小正周期的周期函数;

③y=f(x)在区间上单调递减;

④将函数y=cos 2x的图象向左平移个单位后,将与已知函数的图象重合.

其中正确说法的序号是________.(注:把你认为正确的说法的序号都填上)

查看答案和解析>>

科目:高中数学 来源:2016届宁夏银川一中高三上学期第三次月考理科数学试卷(解析版) 题型:填空题

过点的直线与圆交于两点,为圆心,当 最小时,直线的方程是

查看答案和解析>>

科目:高中数学 来源:2016届湖北武汉华中师大第一附中高三上期中考试理科数学试卷(解析版) 题型:选择题

已知等差数列的公差,且,当时,数列的前项和取得最小值,则首项的取值范围是( )

A. B.

C. D.

查看答案和解析>>

科目:高中数学 来源:2016届湖北省、宜昌一中高三10月联考文科数学试卷(解析版) 题型:选择题

已知函数,则函数的大致图象是( )

查看答案和解析>>

科目:高中数学 来源:2015-2016学年甘肃省高一上学期期中数学试卷(解析版) 题型:选择题

函数的大致图象是( )

查看答案和解析>>

科目:高中数学 来源:2016届浙江省瑞安市高三上学期第一次四校联考文科数学试卷(解析版) 题型:选择题

”是“曲线过坐标原点”的( )

A、充分且不必要条件 B、必要而不充分条件

C、充分必要条件 D、既不充分也不必要条件

查看答案和解析>>

科目:高中数学 来源:2015-2016学年内蒙古赤峰平煤高中高二上学期月考数学试卷(解析版) 题型:解答题

甲、乙两人玩转盘游戏,该游戏规则是这样的:一个质地均匀的标有12等分数字格的转盘(如图),甲、乙两人各转转盘一次,转盘停止时指针所指的数字为该人的得分.(假设指针不能指向分界线)现甲先转,乙后转,求下列事件发生的概率

(1)甲得分超过7分的概率.

(2)甲得7分,且乙得10分的概率

(3)甲得5分且获胜的概率.

查看答案和解析>>

科目:高中数学 来源:2015-2016学年江西省南昌市高一上学期第一次月考数学试卷(解析版) 题型:选择题

已知全集,集合,那么集合( )

A. B. C. D.

查看答案和解析>>

同步练习册答案