精英家教网 > 高中数学 > 题目详情

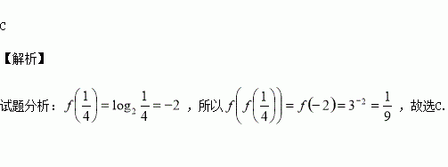
已知函数,则的值是( )

A. B.

C. D.

练习册系列答案
相关习题

科目:高中数学 来源:2017届山东枣庄三中高三10月学情调查数学(理)试卷(解析版) 题型:选择题

设函数在R上存在导函数,对于任意的实数,都有,当时,.若,则实数的取值范围是( )

A. B.

C. D.

查看答案和解析>>

科目:高中数学 来源:2016-2017学年河南郑州市七校联考高一上期中数学试卷(解析版) 题型:填空题

设集合,集合,则 .

查看答案和解析>>

科目:高中数学 来源:2016-2017学年河北唐山曹妃甸一中高一上期中数学试卷(解析版) 题型:解答题

设定义在上的函数是减函数,若,求实数的取值范围

查看答案和解析>>

科目:高中数学 来源:2016-2017学年河北唐山曹妃甸一中高一上期中数学试卷(解析版) 题型:选择题

已知集合,若,则实数的取值范围是( ) A. B. C. D.

查看答案和解析>>

科目:高中数学 来源:2016-2017学年河北唐山曹妃甸一中高一上期中数学试卷(解析版) 题型:选择题

设全集={1,2,3,4},集合={1,3},={4},则等于( )

A.{2,4} B.{4} C.Φ D.{1,3,4}[来源

查看答案和解析>>

科目:高中数学 来源:2016-2017学年广西南宁马山县高二上期中数学试卷(解析版) 题型:填空题

不等式的解集是___________.

查看答案和解析>>

科目:高中数学 来源:2016-2017学年辽宁大连二十高级中高二上期中数学(文)试卷(解析版) 题型:解答题

已知椭圆,点在椭圆上(不是顶点),点关于轴、轴、原点的对称点分别为,求四边形面积的最大值.

查看答案和解析>>

科目:高中数学 来源:2016-2017学年辽宁大连二十高级中高二上期中数学(理)试卷(解析版) 题型:选择题

椭圆的短轴长为

A. B.

C. D.

查看答案和解析>>

同步练习册答案