精英家教网 > 高中数学 > 题目详情
根据下列条件,写出数列中的前4项,并归纳猜想它的通项公式。
(1)a1=3,an+1=2an+1;
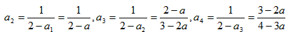
(2)a1=a,
(3)对一切的n∈N*,an>0,且2=an+1。
解:(1)由已知可得a1=3=22-1,a2=2a1+1=2×3+1=7=23-1,
a3=2a2+1=2×7+1=15=24-1,
a4=2a3+1=2×15+1=31=25-1,
猜想an=2n-1-1,n∈N*;
(2)由已知可得a1=a,

猜想
(3)∵
=a2+1,
=a1+1,
∴a1=1,

∴2=a2+1

∵对一切的n∈N*,an>0,
∴a2=3,
同理可求得a3=5,a4=7,
猜想出an=2n-1(n∈N*)。
练习册系列答案
相关习题

科目:高中数学 来源: 题型:

已知经过计算和验证有下列正确的不等式:
3
+
17
<2
10
7.5
+
12.5
<2
10
8+
2
+
12-
2
<2
10
,根据以上不等式的规律,请写出对正实m,n数成立的条件不等式
 

查看答案和解析>>

科目:高中数学 来源: 题型:解答题

某中学举行了一次“环保知识竞赛”,全校学生参加了这次竞赛.为了了解本次竞赛成绩情况,从中抽取了部分学生的成绩(得分取正整数,满分为100分)作为样本进行统计.请根据下面尚未完成并有局部污损的频率分布表和频率分布直方图(如图所示)解决下列问题:
频率分布表
组别分组频数频率
第1组[50,60)80.16
第2组[60,70)a
第3组[70,80)200.40
第4组[80,90)0.08
第5组[90,100]2b
合计
(1)写出a,b,x,y的值;
(2)在选取的样本中,从竞赛成绩是80分以上(含80分)的同学中随机抽取2名同学到广场参加环保知识的志愿宣传活动,求所抽取的2名同学来自同一组的概率;
(3)在(2)的条件下,设ξ表示所抽取的2名同学中来自第5组的人数,求ξ的分布列及其数学期望.

查看答案和解析>>

同步练习册答案