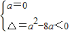
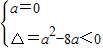
若函数

的定义域是R,则实数a的取值范围是
.
【答案】
分析:“函数

的定义域是R”等价于“ax
2+ax+2>0的解集是R”,所以

,由此能求出实数a的取值范围.
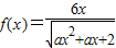
解答:解:∵函数

的定义域是R,
∴ax
2+ax+2>0的解集是R,
∴

,
解得0≤a<8.
故答案为:{a|0≤a<8}.
点评:本题考查二次函数的性质和应用,解题时要认真审题,仔细解答,注意一元二次不等式的解法的灵活运用.
练习册系列答案
相关习题
科目:高中数学
来源:2015届江苏省高一上学期期中考试数学试卷(解析版)
题型:填空题
若函数
的定义域是R,则非零实数
的取值范围是 。
查看答案和解析>>
科目:高中数学
来源:2014届江苏省南京实验国际学校高一下学期期中考试数学试卷(解析版)
题型:填空题
若函数
的定义域是R,则实数k的取值范围为_______;
查看答案和解析>>
科目:高中数学
来源:黑龙江省期中题
题型:解答题
若函数

的定义域是R,求m的取值范围。
查看答案和解析>>
科目:高中数学
来源:《第1章 导数及其应用》2010年单元测试卷(2)(解析版)
题型:解答题
已知函数f(x)=e
x-k-x,(x∈R).
(1)当k=0时,若函数

的定义域是R,求实数m的取值范围;
(2)试判断当k>1时,函数f(x)在(k,2k)内是否存在零点.
查看答案和解析>>
科目:高中数学
来源:2009-2010学年浙江省温州中学高三(上)9月月考数学试卷(理科)(解析版)
题型:解答题
已知函数f(x)=e
x-k-x,(x∈R).
(1)当k=0时,若函数

的定义域是R,求实数m的取值范围;
(2)试判断当k>1时,函数f(x)在(k,2k)内是否存在零点.
查看答案和解析>>