精英家教网 > 高中数学 > 题目详情
已知椭圆C中心在原点、焦点在x轴上,椭圆C上的点到焦点的最大值为3,最小值为1.
(Ⅰ)求椭圆C的标准方程;
(Ⅱ)若直线l:y=kx+m(k≠0)与椭圆交于不同的两点M、N(M、N不是左、右顶点),且以MN为直径的圆经过椭圆的右顶点A.求证:直线l过定点,并求出定点的坐标.
解:(Ⅰ)设椭圆的长半轴为a,半焦距为c,
解得
∴椭圆C的标准方程为
(Ⅱ)由方程组消去y,得(3+4k2)x2+8kmx+4m2﹣12=0
由题意:△=(8km)2﹣4(3+4k2)(4m2﹣12)>0
整理得:3+4k2﹣m2>0
①设M(x1,y1)、N(x2,y2),

由已知,AM⊥AN,且椭圆的右顶点为A(2,0)
∴(x1﹣2)(x2﹣2)+y1y2=0
即(1+k2)x1x2+(km﹣2)(x1+x2)+m2+4=0
也即
整理得:7m2+16mk+4k2=0
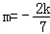
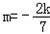
解得:m=﹣2k或,均满足①
当m=﹣2k时,直线l的方程为y=kx﹣2k,过定点(2,0),舍去
时,直线l的方程为,过定点
故直线l过定点,且定点的坐标为
练习册系列答案
相关习题

科目:高中数学 来源: 题型:

已知椭圆C中心在原点、焦点在x轴上,椭圆C上的点到焦点的最大值为3,最小值为1.
(Ⅰ)求椭圆C的标准方程;
(Ⅱ)若直线l:y=kx+m(k≠0)与椭圆交于不同的两点M、N(M、N不是左、右顶点),且以MN为直径的圆经过椭圆的右顶点A.求证:直线l过定点,并求出定点的坐标.

查看答案和解析>>

科目:高中数学 来源: 题型:

已知椭圆C中心在原点,焦点在x轴上,焦距为2,短轴长为2
3

(Ⅰ)求椭圆C的标准方程;
(Ⅱ)若直线l:y=kx+m(k≠0)与椭圆交于不同的两点M、N(M、N不是椭圆的左、右顶点),且以MN为直径的圆经过椭圆的右顶点A.求证:直线l过定点,并求出定点的坐标.

查看答案和解析>>

科目:高中数学 来源: 题型:

已知椭圆C中心在原点,焦点在坐标轴上,直线y=
3
2
x
与椭圆C在第一象限内的交点是M,点M在x轴上的射影恰好是椭圆C的右焦点F2,椭圆C另一个焦点是F1,且
MF1
MF2
=
9
4

(Ⅰ)求椭圆C的方程;
(Ⅱ)直线l过点(-1,0),且与椭圆C交于P,Q两点,求△F2PQ的内切圆面积的最大值.

查看答案和解析>>

科目:高中数学 来源: 题型:

已知椭圆C中心在原点,焦点在x轴上.若椭圆上的点A(1,
3
2
)到焦点F1,F2两点的距离之和等于4.
(1)写出椭圆C的方程和焦点坐标;
(2)过点P(1,
1
4
)的直线与椭圆交于两点D、E,若|DP|=|PE|,求直线DE的方程;
(3)过点Q(1,0)的直线与椭圆交于两点M、N,若△OMN面积取得最大值,求直线MN的方程.

查看答案和解析>>

科目:高中数学 来源: 题型:

已知椭圆C中心在原点,一个焦点为F(-2,0),且长轴长与短轴长的比是2:
3

(1)求椭圆C的方程;
(2)是否存在斜率为
3
2
的直线l,使直线l与椭圆C有公共点,且原点O与直线l的距离等于4;若存在,求出直线l的方程,若不存在,说明理由.

查看答案和解析>>

同步练习册答案