精英家教网 > 高中数学 > 题目详情

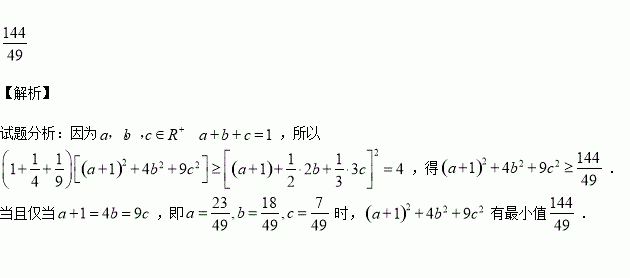
已知正实数,且,则的最小值为

练习册系列答案
相关习题

科目:高中数学 来源:2016届江西省高三10月月考文科数学试卷(解析版) 题型:填空题

设函数,若对于任意的,函数在区间上总不是单调函数,则的取值范围是为

查看答案和解析>>

科目:高中数学 来源:2016届黑龙江省牡丹江市高三10月月考文科数学试卷(解析版) 题型:解答题

已知函数的最大值为2,是集合中的任意两个元素,且的最小值为

(1)求函数的解析式及其对称轴;

(2)求在区间的取值范围.

查看答案和解析>>

科目:高中数学 来源:2016届黑龙江省高三第一阶段考试理科数学试卷(解析版) 题型:填空题

已知是定义在R上的偶函数,并且,当时,,则______.

查看答案和解析>>

科目:高中数学 来源:2016届河北省高三上学期三调考试文科数学试卷(解析版) 题型:选择题

设变量满足,则的最大值和最小值分别为( )

A.1,-1 B.2,-2 C.1,-2 D.2,-1

查看答案和解析>>

科目:高中数学 来源:2016届河北省高三二调文科数学试卷(解析版) 题型:选择题

已知点所在平面内一点,且满足),则直线必经过的( )

A.重心 B.内心 C.垂心 D.外心

查看答案和解析>>

科目:高中数学 来源:2016届河北省高三二调理科数学试卷(解析版) 题型:选择题

已知是数列的前项和,,数列是公差为的等差数列,则( )

A. B. C. D.

查看答案和解析>>

科目:高中数学 来源:2016届山东省乳山市高三10月月考理科数学试卷(解析版) 题型:选择题

下列命题中,假命题是( )

A.

B.

C.

D.

查看答案和解析>>

科目:高中数学 来源:2015-2016学年广东省清远市实验学校高一10月月考数学试卷A(解析版) 题型:选择题

若函数上是增函数,则实数的取值范围是 ( )

A. B. C. D.

查看答案和解析>>

同步练习册答案