精英家教网 > 高中数学 > 题目详情

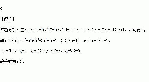
已知f(x)=x5+x4+2x3+3x2+4x+1,应用秦九韶算法计算x=2时的值时,v2的值为

练习册系列答案
相关习题

科目:高中数学 来源:2015-2016学年吉林省松原市高一下期中数学试卷(解析版) 题型:解答题

已知函数f(x)=cos(+x)cos(﹣x)﹣sinxcosx+

(1)求函数f(x)的最小正周期和最大值并求取得最大值时的x的取值集合;

(2)求函数f(x)单调递减区间.

查看答案和解析>>

科目:高中数学 来源:2015-2016学年河北省高一下期中数学试卷(解析版) 题型:解答题

已知函数f(x)=sin2x+asinxcosx﹣cos2x,且f()=1.

(1)求常数a的值;

(2)求f(x)的最小正周期、最小值.

查看答案和解析>>

科目:高中数学 来源:2015-2016学年河北省高一下期中数学试卷(解析版) 题型:选择题

函数y=2tan(x﹣),x∈[﹣]的值域是( )

A.[﹣2,2] B.[﹣1,1] C.[﹣2,2] D.[﹣,1]

查看答案和解析>>

科目:高中数学 来源:2015-2016学年河北省廊坊市高二上期末文科数学试卷(解析版) 题型:解答题

某商家开展迎新春促销抽奖活动,小张、小李两人相约同一天上午去参加抽奖活动.

(1)若抽奖规则是从一个装有3个红球和4个白球的袋中又放回地抽取2个球,当两球同色时则中奖,求中奖的概率;

(2)若小张计划在10:00~10:40之间赶到,小李计划在10:20~11:00之间赶到,求小张比小李提前到达的概率.

查看答案和解析>>

科目:高中数学 来源:2015-2016学年河北省廊坊市高二上期末文科数学试卷(解析版) 题型:选择题

一个圆内有一个内接等边三角形,一动点在圆内运动,则此点落在等边三角形内部的概率为( )

A. B. C. D.

查看答案和解析>>

科目:高中数学 来源:2015-2016学年河北省廊坊市高二上期末文科数学试卷(解析版) 题型:选择题

抛物线的焦点坐标是( )

A.(0,1) B. C. D.

查看答案和解析>>

科目:高中数学 来源:2015-2016学年浙江省台州市高一上期末数学试卷(解析版) 题型:选择题

函数f(x)=ln(﹣x)的图象大致为( )

A. B. C. D.

查看答案和解析>>

科目:高中数学 来源:2015-2016学年山西省晋中市高二上期末文科数学试卷(解析版) 题型:填空题

命题“?x∈R,ex﹣x>0”的否定为

查看答案和解析>>

同步练习册答案