精英家教网 > 高中数学 > 题目详情
已知函数在区间[m,n]上为增函数,且f(m)f(n)=-4。
(1)当a=3时,求m,n的值;
(2)当f(n)-f(m)最小时,
①求a的值;
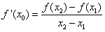
②若P(x1,y1),Q(x2,y2)(a<x1<x2<n)是f(x)图象上的两点,且存在实数x0使得,证明:x1<x0<x2
解:
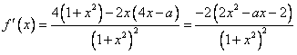
(1)当a=3时,由
或x=2,
所以,f(x)在上为增函数,在上为减函数,
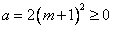
由题意知,
因为,
所以,
可知
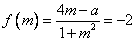
(2)①因为
当且仅当f(n)=-f(m)=2时等号成立。
,有,得
,有,得
故f(n)-f(m)取得最小值时,a=0,n=1。
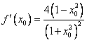
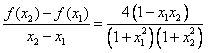
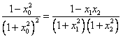
②此时,, 
知,
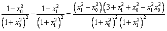
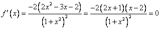
欲证,先比较的大小。
 

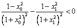
因为,
所以,,有
于是

另一方面,
因为,
所以,
从而,,即
同理可证
因此,
练习册系列答案
相关习题

科目:高中数学 来源:2012-2013学年安徽师大附中高一(上)期中数学试卷(解析版) 题型:填空题

已知函数在区间[m,n]上的值域是[3m,3n],则m=      n=   

查看答案和解析>>

科目:高中数学 来源:2009-2010学年湖北省部分重点中学联考高三(上)期中数学试卷(理科)(解析版) 题型:选择题

已知函数在区间M上的反函数是其本身,则M可以是( )
A.[-2,2]
B.[-2,0]
C.[0,2]
D.[-2,0)

查看答案和解析>>

科目:高中数学 来源:2010年重庆市部分重点中学高考数学一模试卷(理科)(解析版) 题型:选择题

已知函数在区间M上的反函数是其本身,则M可以是( )
A.[-2,2]
B.[-2,0]
C.[0,2]
D.[-2,0)

查看答案和解析>>

科目:高中数学 来源:2010年山东省高考数学押题试卷(理科)(解析版) 题型:解答题

已知函数在区间[m,n]上为增函数,且f(m)f(n)=-4.
(1)当a=3时,求m,n的值;
(2)当f(n)-f(m)最小时,
①求a的值;
②若P(x1,y1),Q(x2,y2)(a<x1<x2<n)是f(x)图象上的两点,且存在实数x使得,证明:x1<x<x2

查看答案和解析>>

科目:高中数学 来源:2007年北京市朝阳区高考数学一模试卷(理科)(解析版) 题型:选择题

已知函数在区间M上的反函数是其本身,则M可以是( )
A.[-2,2]
B.[-2,0]
C.[0,2]
D.[-2,0)

查看答案和解析>>

同步练习册答案