精英家教网 > 高中数学 > 题目详情

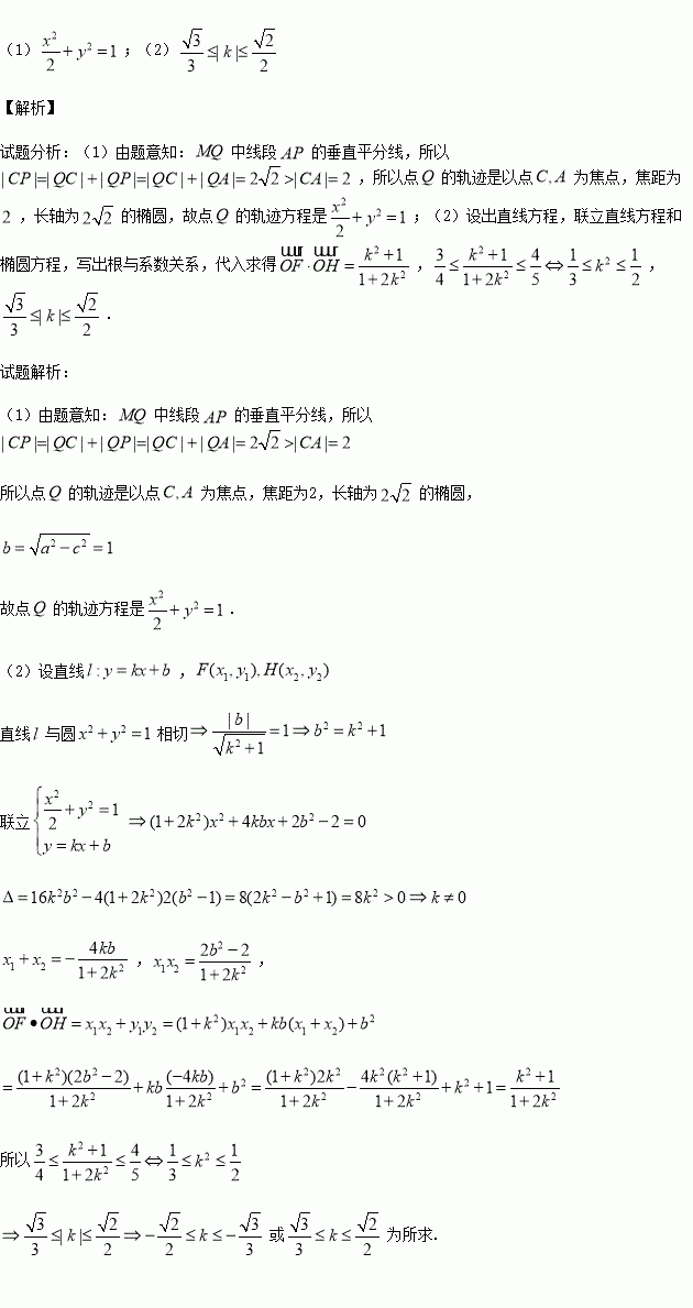
已知点为圆的圆心,是圆上的动点,点在圆的半径上,且有点上的点,满足.

(1)当点在圆上运动时,求点的轨迹方程;

(2)若斜率为的直线与圆相切,直线与(1)中所求点的轨迹交于不同的两点是坐标原点,且时,求的取值范围.

练习册系列答案
相关习题

科目:高中数学 来源:2015-2016学年安徽省高二下学业水平模拟数学试卷(解析版) 题型:选择题

已知菱形ABCD的边长为2,∠BAD=120°,点E、F分别在边BC、DC上,,若=1,=﹣,则λ+μ=( )

A. B. C. D.

查看答案和解析>>

科目:高中数学 来源:2017届山西长治二中等五校高三上学期联考一数学(文)试卷(解析版) 题型:选择题

已知全集为R,集合,则=( )

A. B. C. D.

查看答案和解析>>

科目:高中数学 来源:2017届山西长治二中等五校高三上学期联考一数学(理)试卷(解析版) 题型:选择题

向量满足,且,则的夹角的余弦值为( )

A.0 B. C. D.

查看答案和解析>>

科目:高中数学 来源:2017届山西长治二中等五校高三上学期联考一数学(理)试卷(解析版) 题型:选择题

已知集合,集合,则等于( )

A. B. C. D.

查看答案和解析>>

科目:高中数学 来源:2017届湖南长沙长郡中学高三摸底测试数学(理)试卷(解析版) 题型:填空题

已知的中线,,则的最小值是 .

查看答案和解析>>

科目:高中数学 来源:2017届湖南长沙长郡中学高三摸底测试数学(理)试卷(解析版) 题型:选择题

某几何体的三视图如图所示,则该几何体的体积为( )

A. B. C. D.

查看答案和解析>>

科目:高中数学 来源:2015-2016学年河北定州中学高一承智班上周练二数学试卷(解析版) 题型:填空题

已知函数若关于的方程有三个不同的实根,则实数的取值范围是

查看答案和解析>>

科目:高中数学 来源:2015-2016学年湖南省长沙市高二下学业水平模拟数学试卷(解析版) 题型:解答题

设Sn为等差数列{an}(n∈N*)的前n项和,且a1=1,S3=6.

(1)求公差d的值;

(2)Sn<3an,求所有满足条件的n的值.

查看答案和解析>>

同步练习册答案