精英家教网 > 高中数学 > 题目详情
已知直线l:x-2y+m=0与圆(x-2)2+(y+1)2=5相切,那么实数m的值为( )
A.-9或1
B.9或-1
C.5或-5
D.3或13
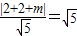
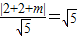
【答案】分析:由直线l:x-2y+m=0与圆(x-2)2+(y+1)2=5相切,可得圆心(2,-1)到直线x-2y+m=0的距离d=,可求
解答:解:∵直线l:x-2y+m=0与圆(x-2)2+(y+1)2=5相切,
∴圆心(2,-1)到直线x-2y+m=0的距离d=
即|m+4|=5
∴m=1,或m=-9
故选A
点评:本题主要考查了直线与圆的位置关系:相切关系的应用,解题的关键是利用圆心到直线的距离d=r,解答本题也可联立方程进行求解
练习册系列答案
相关习题

科目:高中数学 来源: 题型:

已知直线l:x+2y+k+1=0被圆C:x2+y2=4所截得的弦长为4,则k是(  )
A、-1B、-2C、0D、2

查看答案和解析>>

科目:高中数学 来源: 题型:

3、已知直线l:x+2y-2=0,则下列直线中,与l平行的是(  )

查看答案和解析>>

科目:高中数学 来源: 题型:

已知直线l:x-2y=0,点A(-1,-2).求:
(Ⅰ)点A关于直线l的对称点A′的坐标.
(Ⅱ)直线m:3x-2y-1=0关于直线l对称的直线n的方程.

查看答案和解析>>

科目:高中数学 来源: 题型:

已知直线l:x-2y-5=0与圆O:x2+y2=50相交于点A,B,求:
(1)交点A,B的坐标;
(2)△AOB的面积;
(3)圆心角AOB的余弦.

查看答案和解析>>

科目:高中数学 来源: 题型:

(2010•崇明县二模)已知直线l:x+2y+3=0的方向向量为
d
,圆C:(x-a)2+(y-b)2=r2的圆心为Q(a,b),半径为r.如果从{1,2,3,4,…,9,10}中任取3个不同的元素分别作为a,b,r的值,得到不同的圆,能够使得
d
OQ
=0
(O为坐标原点)的概率等于
1
18
1
18
.(用分数表示)

查看答案和解析>>

同步练习册答案