精英家教网 > 高中数学 > 题目详情

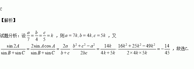
在三角形中,角的对边分别为,且满足,则( )

A. B. C. D.

练习册系列答案
相关习题

科目:高中数学 来源:2016届江西省九江市高三下学期三模文科数学试卷(解析版) 题型:填空题

如图所示,在四棱锥中,底面是边长为的正方形,是正三角形,分别是的中点,,若在同一球面上,则此球的体积为____.

查看答案和解析>>

科目:高中数学 来源:2015-2016学年河北武邑中学高二下5.8周考理科数学卷(解析版) 题型:填空题

已知随机变量,若,则_________.

查看答案和解析>>

科目:高中数学 来源:2015-2016学年江西省高一下期中数学试卷(解析版) 题型:解答题

的内角的对边分别为,

(1)求;

(2)若,求角C.

查看答案和解析>>

科目:高中数学 来源:2015-2016学年江西省高一下期中数学试卷(解析版) 题型:选择题

是正项递增等比数列,表示其前项之积,且,则当取最小值时,的值为( )

A.9 B.14 C.19 D.24

查看答案和解析>>

科目:高中数学 来源:2015-2016学年江西省高二下期中文科数学试卷(解析版) 题型:解答题

设函数,其中

(I)当时,解不等式

(II)若对于任意实数,恒有成立,求的取值范围.

查看答案和解析>>

科目:高中数学 来源:2015-2016学年江西省高二下期中文科数学试卷(解析版) 题型:填空题

下列命题中,正确的序号是

①存在,使得 ② 若,则 ③ “”是“”的充要条件④若函数有极值,则

查看答案和解析>>

科目:高中数学 来源:2016届湖南省长沙市高考模拟一文科数学试卷(解析版) 题型:解答题

已知平面直角坐标系,以为极点,轴的非负半轴为极轴建立极坐标系,点的极坐标为,曲线的参数方程为为参数).

(1)写出点的直角坐标及曲线的直角坐标方程;

(2)若为曲线上的动点,求中点到直线的距离的最小值.

查看答案和解析>>

科目:高中数学 来源:2016届湖南省长沙市高考模拟一理科数学试卷(解析版) 题型:选择题

长郡中学早上8点开始上课,若学生小典与小方均在早上7:40至8:00之间到校,且两人在该时间段的任何时刻到校都是等可能的,则小典比小方至少早5分钟到校的概率为( )

A. B. C. D.

查看答案和解析>>

同步练习册答案