精英家教网 > 高中数学 > 题目详情

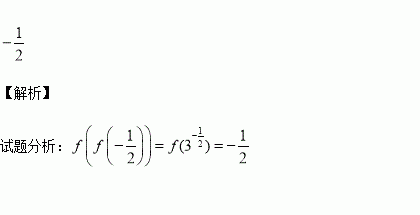
设函数,则___________.

练习册系列答案
相关习题

科目:高中数学 来源:2015-2016学年河南南阳一中高二下第二次月考文科数学卷(解析版) 题型:填空题

下图是某算法的程序框图,则程序运行后输出的结果是

查看答案和解析>>

科目:高中数学 来源:2015-2016学年山东省高一6月月考数学试卷(解析版) 题型:解答题

中, ,记

(1)求的值;

(2)求的值;

查看答案和解析>>

科目:高中数学 来源:2015-2016学年山东省高一6月月考数学试卷(解析版) 题型:选择题

化简得( )

A. B. C. D.

查看答案和解析>>

科目:高中数学 来源:2016届安徽省高三下学期冲刺模拟文科数学A卷(解析版) 题型:解答题

在中学生综合素质评价某个维度的测评中,分“优秀、合格、尚待改进”三个等级进行学生互评.某校高一年级有男生500人,女生400人,为了了解性别对该维度测评结果的影响,采用分层抽样方法从高一年级抽取了45名学生的测评结果,并作出频数统计表如下:

表1:男生

等级

优秀

合格

尚待改进

频数

15

5

表2:女生

等级

优秀

合格

尚待改进

频数

15

3

(1)从表二的非优秀学生中随机选取2人交谈,求所选2人中恰有1人测评等级为合格的概率;

(2)由表中统计数据填写下边列联表,试采用独立性检验进行分析,能否在犯错误的概率不超过0.1的前提下认为“测评结果优秀与性别有关”.

男生

女生

总计

优秀

非优秀

总计

0.10

0.05

0.01

2.706

3.841

6.635

参考数据与公式:

,其中.

查看答案和解析>>

科目:高中数学 来源:2016届安徽省高三下学期冲刺模拟文科数学A卷(解析版) 题型:选择题

已知函数,实数满足若实数为方程的一个解,那么下列不等式中,不可能成立的是( )

A. B. C. D.

查看答案和解析>>

科目:高中数学 来源:2016届安徽省高三下学期冲刺模拟文科数学A卷(解析版) 题型:选择题

”是“”的( )

A.充分不必要条件 B.必要不充分条件

C.充要条件 D.既不充分也不必要条件

查看答案和解析>>

科目:高中数学 来源:2016届安徽省高三下学期冲刺模拟理科数学A卷(解析版) 题型:选择题

我国南北朝数学家何承天发明的“调日法”是程序化寻求精确分数来表示数值的算法,其理论依据是:设实数的不足近似值和过剩近似值分别为),则的更为精确的不足近似值或过剩近似值.我们知道,若令,则第一次用“调日法”后得的更为精确的过剩近似值,即,若每次都取得最简分数,那么第四次用“调日法”后可得的近似数为( )

A. B. C. D.

查看答案和解析>>

科目:高中数学 来源:2016届安徽省高三下学期冲刺模拟理科数学C卷(解析版) 题型:填空题

已知空间四面体中,,且四面体的外接球的表面积为,如果,则

查看答案和解析>>

同步练习册答案