精英家教网 > 高中数学 > 题目详情

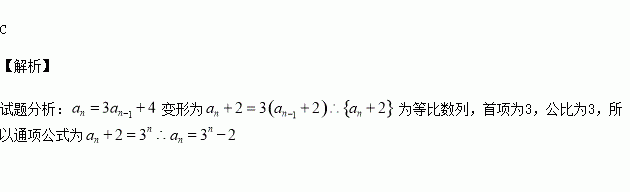
已知数列中,,则数列通项公式为 ( )

A. B. C. D.

练习册系列答案
相关习题

科目:高中数学 来源:2015-2016学年江西南昌二中高二上学期期中文科数学试卷(解析版) 题型:选择题

直线的倾斜角为

A. B. C. D.

查看答案和解析>>

科目:高中数学 来源:2015-2016学年湖北省高一上学期期中数学试卷(解析版) 题型:选择题

若集合,则( )

A. B. C. D.

查看答案和解析>>

科目:高中数学 来源:2015-2016学年江西省南昌市高一上学期期中考试数学试卷(解析版) 题型:解答题

集合A={(x,y)},集合B={(x,y),且0},又A,求实数m的取值范围.

查看答案和解析>>

科目:高中数学 来源:2015-2016学年甘肃省嘉峪关市高二上学期期中考试文科数学试卷(解析版) 题型:解答题

(本小题满分12分)等比数列的前项和为,已知成等差数列.

(1)求数列的公比;

(2)若,问是数列的前多少项和.

查看答案和解析>>

科目:高中数学 来源:2015-2016学年甘肃省嘉峪关市高二上学期期中考试文科数学试卷(解析版) 题型:选择题

等比数列中,首项,公比,那么前5项和的值是

A. B. C. D.

查看答案和解析>>

科目:高中数学 来源:2015-2016学年甘肃省嘉峪关市高二上学期期中考试理科数学试卷(解析版) 题型:选择题

函数f(x)=的定义域是R,则实数a的取值范围是( )

A. B. C. D.[

查看答案和解析>>

科目:高中数学 来源:2016届山东省高三第二次诊断性考试文科数学试卷(解析版) 题型:解答题

(本小题满分13分)

已知函数为自然对数的底数

(Ⅰ)求函数的最小值;

(Ⅱ)若对任意的恒成立,求实数的值.

查看答案和解析>>

科目:高中数学 来源:2015-2016学年甘肃省嘉峪关市高二上学期期中考试理科数学试卷(解析版) 题型:填空题

已知满足约束条件,且的最小值为6,则常数

查看答案和解析>>

同步练习册答案