精英家教网 > 高中数学 > 题目详情

已知数列{an}中的相邻两项a2k-1,a2k是关于x的方程x2-(3k+2k)x+3k+2k=0的两个根,且a2k-1≤a2k(k=1,2,3,…),
(Ⅰ)求a1,a3,a5,a7及a2n(n≥4)(不必证明);
(Ⅱ)求数列{an}的前2n项和S2n

解:(Ⅰ)方程的两个根为
当k=1时,,所以
当k=2时,,所以
当k=3时,,所以
当k=4时,,所以
因为当n≥4时,2n>3n,
所以
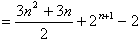
(Ⅱ)

练习册系列答案
  • 1加1阅读好卷系列答案
  • 专项复习训练系列答案
  • 初中语文教与学阅读系列答案
  • 阅读快车系列答案
  • 完形填空与阅读理解周秘计划系列答案
  • 英语阅读理解150篇系列答案
  • 奔腾英语系列答案
  • 标准阅读系列答案
  • 53English系列答案
  • 考纲强化阅读系列答案
  • 年级 高中课程 年级 初中课程
    高一 高一免费课程推荐! 初一 初一免费课程推荐!
    高二 高二免费课程推荐! 初二 初二免费课程推荐!
    高三 高三免费课程推荐! 初三 初三免费课程推荐!
    相关习题

    科目:高中数学 来源: 题型:

    已知数列{an}中的相邻两项a2k-1、a2k是关于x的方程x2-(3k+2k)x+3k•2k=0的两个根,且a2k-1≤a2k(k=1,2,3,…).
    (I)求a1,a3,a5,a7及a2n(n≥4)(不必证明);
    (Ⅱ)求数列{an}的前2n项和S2n

    查看答案和解析>>

    科目:高中数学 来源: 题型:

    已知数列{an}中的各项均为正数,且满足a1=2,
    an+1-1
    an-1
    =
    2an
    an+1
    (n∈N*)
    .记bn=an2-an,数列{bn}的前n项和为xn,且f(xn)=
    1
    2
    xn

    (Ⅰ)数列{bn}和{an}的通项公式;
    (Ⅱ)求证:
    n-1
    2
    f(x1)
    f(x2)
    +
    f(x2)
    f(x3)
    +…+
    f(xn)
    f(xn+1)
    n
    2
    (n∈N*)

    查看答案和解析>>

    科目:高中数学 来源: 题型:

    已知数列{an}中的相邻两项a2k-1,a2k是关于x的方程x2-(3k+2k)x+3k•2k=0的两个根,且a2k-1≤a2k(k=1,2,3,…).
    (Ⅰ)求a1,a3,a5,a7
    (Ⅱ)求数列{an}的前2n项和S2n
    (Ⅲ)记f(n)=
    1
    2
    (
    |sinn|
    sinn
    +3)
    Tn=
    (-1)f(2)
    a1a2
    +
    (-1)f(3)
    a3a4
    +
    (-1)f(4)
    a5a6
    +…+
    (-1)f(n+1)
    a2n-1a2n
    ,求证:
    1
    6
    Tn
    5
    24
    (n∈N*)

    查看答案和解析>>

    科目:高中数学 来源: 题型:

    (2009•崇明县二模)已知数列{an}中的相邻两项a2k-1,a2k(k=1,2,3…)是关于x的方程x2-(4k+2+2k)x+(2k+1)×2k+1=0的两个根,且a2k-1≤a2k(k=1,2,3,…).
    (1)求a1,a2,a3,a4的值;
    (2)求数列{an}的通项an
    (3)求数列{an}的前n项的和Sn

    查看答案和解析>>

    科目:高中数学 来源:2012年辽宁省普通高中学生学业水平考试数学样卷(解析版) 题型:解答题

    已知数列{an}中的相邻两项a2k-1、a2k是关于x的方程x2-(3k+2k)x+3k•2k=0的两个根,且a2k-1≤a2k(k=1,2,3,…).
    (I)求a1,a3,a5,a7及a2n(n≥4)(不必证明);
    (Ⅱ)求数列{an}的前2n项和S2n

    查看答案和解析>>

    同步练习册答案