精英家教网 > 高中数学 > 题目详情

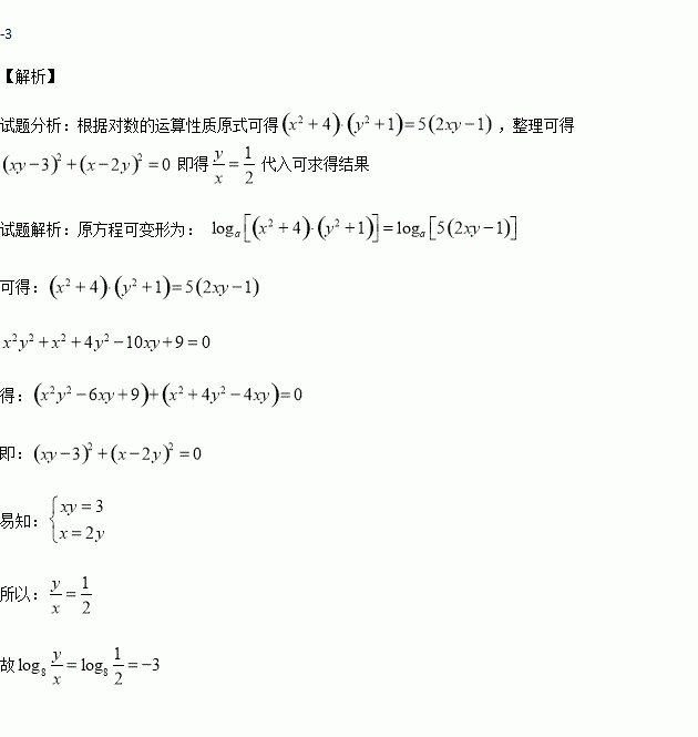
已知,求的值

练习册系列答案
相关习题

科目:高中数学 来源:2015-2016学年福建省高一上学期期中数学试卷(解析版) 题型:选择题

下列函数中,既是偶函数又在单调递增的函数是( )

A. B. C. D.

查看答案和解析>>

科目:高中数学 来源:2016届浙江宁波效实中学高三上期中考试理科数学试卷(解析版) 题型:选择题

函数上的单调递减函数,则实数的取值范围是( )

A. B.

C. D.

查看答案和解析>>

科目:高中数学 来源:2016届河南省原名校高三上学期第一次联考理科数学试卷(解析版) 题型:选择题

由曲线,直线轴所围成图形的面积是( )

A. B. C. D.[

查看答案和解析>>

科目:高中数学 来源:2015-2016学年广东省佛山市高一上学期期中数学试卷(解析版) 题型:选择题

函数的零点所在的区间是( )

A. B. C. D.

查看答案和解析>>

科目:高中数学 来源:2015-2016学年江西省南昌市高一上学期期中考试数学试卷(解析版) 题型:选择题

下列四个关系式中,正确的是( ).

A、 B、 C、 D、

查看答案和解析>>

科目:高中数学 来源:2015-2016学年甘肃省嘉峪关市高二上学期期中考试理科数学试卷(解析版) 题型:填空题

(本小题满分12分)某单位计划建一长方体状的仓库,底面如图,高度为定值.仓库的后墙和底部不花钱,正面的造价为40元,两侧的造价为45元,顶部的造价为20元.设仓库正面的长为,两侧的长各为

(1)用表示这个仓库的总造价 (元);

(2)若仓库底面面积时,仓库的总造价最少是多少元,此时正面的长应设计为多少?

查看答案和解析>>

科目:高中数学 来源:2016届河南省原名校高三上学期第一次联考文科数学试卷(解析版) 题型:选择题

函数的图象大致为( )

查看答案和解析>>

科目:高中数学 来源:2015-2016学年广西桂林中学高二上期中考试文科数学试卷(解析版) 题型:解答题

(12分)如图,△ABC中,.求AC的长.

查看答案和解析>>

同步练习册答案