精英家教网 > 高中数学 > 题目详情

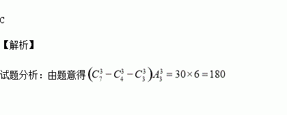
从4位男教师和3位女教师中选出3位教师,派往郊区3所学校支教,每校1人,要求这3位教师中男、女教师都要有,则不同的选派方案有

A.210种 B.186种 C.180种 D.90种

练习册系列答案
相关习题

科目:高中数学 来源:2015-2016学年四川成都七中高二10月段考文科数学试卷(解析版) 题型:选择题

若直线l沿轴向左平移个单位,再沿轴向上平移个单位后,回到原来位置,则直线l的斜率为( )

A. B.一 C. D.

查看答案和解析>>

科目:高中数学 来源:2014-2015学年浙江省嵊州市高二下期末检测文科数学A卷(解析版) 题型:选择题

设双曲线C:的离心率为,右顶点为,点,若C上存在一点,使得,则

A. B.

C. D.

查看答案和解析>>

科目:高中数学 来源:2014-2015学年四川省宜宾市高一下学期期末测试数学试卷(解析版) 题型:选择题

已知集合,则

(A) (B)

(C) (D)

查看答案和解析>>

科目:高中数学 来源:2014-2015学年山西省高二下学期期中文科数学试卷(解析版) 题型:选择题

直线垂直,则实数的值为( )

A. B. C. D.

查看答案和解析>>

科目:高中数学 来源:2014-2015学年山西省高二上学期第一次月考数学试卷(解析版) 题型:选择题

过球的一条半径的中点,作垂直于该半径的平面,则所得截面的面积与球的表面积的比( )

A. B. C. D.

查看答案和解析>>

科目:高中数学 来源:2014-2015学年江西省上饶市等四校高一6月考理科数学试卷(解析版) 题型:选择题

已知向量=(1,k),=(2,2),且共线,那么·的值为( )

A、4 B、3 C、2 D、1

查看答案和解析>>

科目:高中数学 来源:2014-2015学年贵州省高二上学期期中文科数学试卷(解析版) 题型:选择题

已知命题,则( )。

A.

B.

C.

D.

查看答案和解析>>

科目:高中数学 来源:2015-2016学年江西新余一中高一上第一次段考数学试卷(解析版) 题型:填空题

是定义在上的偶函数,则的值域是________

查看答案和解析>>

同步练习册答案