精英家教网 > 高中数学 > 题目详情
已知函数
(1)当a=1时,求f(x)的最小值;
(2)若函数在区间(1,2)上不单调,求a的取值范围.
解:(1)当
令f'(x)=0得x=1.
f'(x)<0得0<x<1,
f'(x)>0得1<x,
∴f(x)在(0,1)上单调递减,在(1,+∞)上单调递增.
故fmin(x)=f(1)=0.
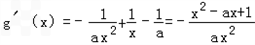
(2).

∵g(x)在(1,2)上不单调,
∴x2﹣ax+1=0在(1,2)上有根且无重根.
即方程在(1,2)有根,且无重根.
练习册系列答案
相关习题

科目:高中数学 来源: 题型:

(12分)已知函数

(1)当a=1时,证明函数只有一个零点;

(2)若函数在区间(1,+∞)上是减函数,求实数a的取值范围.

查看答案和解析>>

科目:高中数学 来源: 题型:

已知函数

(1)当a=3时,求fx)的零点;

(2)求函数yf (x)在区间[1,2]上的最小值.

查看答案和解析>>

科目:高中数学 来源:2011届湖北省天门市高三模拟考试(一)理科数学 题型:解答题

.(本小题满分14分)
已知函数
(1)当a=1时,求的极小值;
(2)设,x∈[-1,1],求的最大值F(a).

查看答案和解析>>

科目:高中数学 来源:2013年高考数学复习卷D(四)(解析版) 题型:解答题

已知函数
(1)当a=2时,求函数f(x)的单调递减区间;
(2)当a<0,且时,f(x)的值域为[4,6],求a,b的值.

查看答案和解析>>

科目:高中数学 来源:2010-2011学年广东省高州市高三上学期16周抽考数学文卷 题型:解答题

(本小题共13分)

已知函数

(1)当a=3时,求f(x)的零点;

(2)求函数y=f (x)在区间[1,2]上的最小值.

 

查看答案和解析>>

同步练习册答案