精英家教网 > 高中数学 > 题目详情
已知椭圆和圆O:,过椭圆上一点P引圆O的两条切线,切点分别为A,B。
(1)(ⅰ)若圆O过椭圆的两个焦点,求椭圆的离心率e; 
(ⅱ)若椭圆上存在点P,使得,求椭圆离心率e的取值范围; 
(2)设直线AB与x轴、y轴分别交于点M,N,求证:为定值。
解:(1)(ⅰ)∵圆O过椭圆的焦点,圆O:
∴b=c,



(ⅱ)由及圆的性质,可得



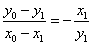
(2)设,则
整理,得

∴PA的方程为:
PB的方程为:
,得
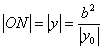
令y=0,得

是定值,定值为
练习册系列答案
相关习题

科目:高中数学 来源:北京模拟题 题型:解答题

已知椭圆和圆O:x2+y2=b2,过椭圆上一点P引圆O的两条切线,切点分别为A,B,
(Ⅰ)(ⅰ)若圆O过椭圆的两个焦点,求椭圆的离心率e;
(ⅱ)若椭圆上存在点P,使得∠APB=90°,求椭圆离心率e的取值范围;
(Ⅱ)设直线AB与x轴、y轴分别交于点M,N,求证:为定值。

查看答案和解析>>

科目:高中数学 来源:2010-2011学年湖南省衡阳八中高三(上)第五次月考数学试卷(文科) (解析版) 题型:解答题

已知椭圆和圆O:x2+y2=b2,过椭圆上一点P引圆O的两条切线,切点分别为A,B.
(1)(ⅰ)若圆O过椭圆的两个焦点,求椭圆的离心率e;
(ⅱ)若椭圆上存在点P,使得∠APB=90°,求椭圆离心率e的取值范围;
(2)设直线AB与x轴、y轴分别交于点M,N,求证:为定值.

查看答案和解析>>

科目:高中数学 来源:2010-2011学年江苏省苏北四市高三(上)第一次摸底数学试卷(解析版) 题型:解答题

已知椭圆和圆O:x2+y2=b2,过椭圆上一点P引圆O的两条切线,切点分别为A,B.
(1)(ⅰ)若圆O过椭圆的两个焦点,求椭圆的离心率e;
(ⅱ)若椭圆上存在点P,使得∠APB=90°,求椭圆离心率e的取值范围;
(2)设直线AB与x轴、y轴分别交于点M,N,求证:为定值.

查看答案和解析>>

科目:高中数学 来源:2010年高考数学模拟组合试卷(3)(解析版) 题型:解答题

已知椭圆和圆O:x2+y2=b2,过椭圆上一点P引圆O的两条切线,切点分别为A,B.
(1)(ⅰ)若圆O过椭圆的两个焦点,求椭圆的离心率e;
(ⅱ)若椭圆上存在点P,使得∠APB=90°,求椭圆离心率e的取值范围;
(2)设直线AB与x轴、y轴分别交于点M,N,求证:为定值.

查看答案和解析>>

同步练习册答案