精英家教网 > 高中数学 > 题目详情
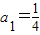
设Sn是等比数列{an}的前n项和,且
(1)求{an}的通项公式an
(2)设bn=log2an,求数列{bn}的前n项和Tn
【答案】分析:(1)设{an}的首项为a1,公比为q,分q=1与q≠1讨论,列方程组计算即可求得q,从而可求{an}的通项公式an
(2)由an=2n-3,bn=log2an,可求得bn=n-3,从而可求得b1,利用等差数列的前n项和公式即可求得Tn
解答:解:(1)设{an}的首项为a1,公比为q
当q=1时,S3=3a1,S6=6a1,则S6=2S3,不合题意; …(2分)
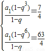
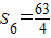
当q≠1时,,两式相除得1+q3=9,
∴q=2,
…(6分)
∴an=a1qn-1=×2n-1=2n-3…(8分)
(2)bn=log2an=log22n-3=n-3,…11分
∴b1=-2,
∴Tn===…14分
点评:本题考查数列的求和,突出考查等比数列与等差数列的通项公式及求和公式,属于中档题.
练习册系列答案
相关习题

科目:高中数学 来源: 题型:

设Sn是等比数列{an}的前n项和,
S3
S6
=
1
3
,则
S6
S12
等于(  )
A、
3
10
B、
1
5
C、
1
8
D、
1
9

查看答案和解析>>

科目:高中数学 来源: 题型:

设Sn是等比数列{an}前n项的乘积,若a9=1,则下面的等式中正确的是(  )

查看答案和解析>>

科目:高中数学 来源:2011-2012学年四川省高4月期中检测数学试卷(解析版) 题型:选择题

设Sn是等比数列的前n项和,若,则 (   )   

A、          B、             C、          D、

 

查看答案和解析>>

科目:高中数学 来源:2012-2013学年宁夏银川一中高三(下)第六次月考数学试卷(理科)(解析版) 题型:选择题

设Sn是等比数列{an}的前n项和,,则等于( )
A.
B.
C.
D.

查看答案和解析>>

科目:高中数学 来源:2010-2011学年浙江省杭州市学军中学高三(上)期中数学试卷(文科)(解析版) 题型:选择题

设Sn是等比数列{an}的前n项和,,则等于( )
A.
B.
C.
D.

查看答案和解析>>

同步练习册答案