精英家教网 > 高中数学 > 题目详情
根式(式中a>0)的分数指数幂形式为( )
A.
B.
C.
D.
【答案】分析:由查根式和分数指数幂的意义,先将根式中的部分化为分数指数幂,再化整体即可.
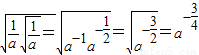
解答:解:
故选A.
点评:本题考查根式和分数指数幂的互化、指数的运算法则,属基本知识、基本运算的考查.
练习册系列答案
相关习题

科目:高中数学 来源:2012-2013学年山东省济宁市曲阜市高一(上)11月月考数学试卷(解析版) 题型:选择题

根式(式中a>0)的分数指数幂形式为( )
A.
B.
C.
D.

查看答案和解析>>

科目:高中数学 来源:2011-2012学年河南省三门峡市卢氏一中高一(上)第一次月考数学试卷(解析版) 题型:选择题

根式(式中a>0)的分数指数幂形式为( )
A.
B.
C.
D.

查看答案和解析>>

科目:高中数学 来源:2009-2010学年山东省日照市六所重点学校高一(上)期中数学试卷(必修1)(解析版) 题型:选择题

根式(式中a>0)的分数指数幂形式为( )
A.
B.
C.
D.

查看答案和解析>>

科目:高中数学 来源:2008-2009学年广东省中山市高一(上)期末数学试卷(解析版) 题型:选择题

根式(式中a>0)的分数指数幂形式为( )
A.
B.
C.
D.

查看答案和解析>>

同步练习册答案