精英家教网 > 高中数学 > 题目详情

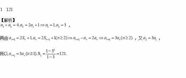
设数列{an}的前n项和为Sn.若S2=4,an+1=2Sn+1,n∈N*,则a1= ,S5= .

练习册系列答案
相关习题

科目:高中数学 来源:2016年全国普通高等学校招生统一考试文科数学(山东卷参考版) 题型:解答题

已知椭圆C:(a>b>0)的长轴长为4,焦距为2.

(Ⅰ)求椭圆C的方程;

(Ⅱ)过动点M(0,m)(m>0)的直线交x轴与点N,交C于点A,P(P在第一象限),且M是线段PN的中点.过点P作x轴的垂线交C于另一点Q,延长线QM交C于点B.

(i)设直线PM、QM的斜率分别为k、k',证明为定值.

(ii)求直线AB的斜率的最小值.

查看答案和解析>>

科目:高中数学 来源:2016年全国普通高等学校招生统一考试理科数学(四川卷参考版) 题型:选择题

设集合,Z为整数集,则中元素的个数是

(A)3 (B)4 (C)5 (D)6

查看答案和解析>>

科目:高中数学 来源:2016年全国普通高等学校招生统一考试文科数学(四川卷参考版) 题型:选择题

设p:实数x,y满足x>1且y>1,q: 实数x,y满足x+y>2,则p是q的

(A)充分不必要条件 (B)必要不充分条件

(C)充要条件 (D)既不充分也不必要条件

查看答案和解析>>

科目:高中数学 来源:2016年全国普通高等学校招生统一考试理科数学(浙江卷参考版) 题型:解答题

已知,函数F(x)=min{2|x?1|,x2?2ax+4a?2},

其中min{p,q}=

(Ⅰ)求使得等式F(x)=x2?2ax+4a?2成立的x的取值范围;

(Ⅱ)(ⅰ)求F(x)的最小值m(a);

(ⅱ)求F(x)在区间[0,6]上的最大值M(a).

查看答案和解析>>

科目:高中数学 来源:2016年全国普通高等学校招生统一考试理科数学(浙江卷参考版) 题型:选择题

已知实数a,b,c

A.若|a2+b+c|+|a+b2+c|≤1,则a2+b2+c2<100

B.若|a2+b+c|+|a2+b–c|≤1,则a2+b2+c2<100

C.若|a+b+c2|+|a+b–c2|≤1,则a2+b2+c2<100

D.若|a2+b+c|+|a+b2–c|≤1,则a2+b2+c2<100

查看答案和解析>>

科目:高中数学 来源:2016年全国普通高等学校招生统一考试理科数学(浙江卷参考版) 题型:选择题

已知集合

A.[2,3] B.( -2,3 ] C.[1,2) D.

查看答案和解析>>

科目:高中数学 来源:2016年全国普通高等学校招生统一考试文科数学(浙江卷参考版) 题型:选择题

若平面区域 夹在两条斜率为1的平行直线之间,则这两条平行直线间的距离的最小值是( )

A. B. C. D.

查看答案和解析>>

科目:高中数学 来源:2016年全国普通高等学校招生统一考试理科数学(天津卷参考版) 题型:填空题

已知,i是虚数单位,若,则的值为_______.

查看答案和解析>>

同步练习册答案