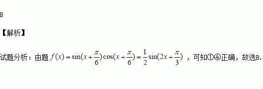
精英家教网 > 高中数学 > 题目详情

函数,给出下列结论:

的最小正周期为

的一条对称轴为

的一个对称中心为

是奇函数

其中正确结论的个数是( )

A. B. C. D.

练习册系列答案
相关习题

科目:高中数学 来源:2016届云南师范大学附属中学高考适应性月考卷一文科数学试卷(解析版) 题型:选择题

《九章算术》中,将四个面都为直角三角形的四面体称之为鳖臑,如图,在鳖臑PABC中,PA⊥平面ABC,AB⊥BC,且AP=AC=1,过A点分别作AE⊥PB于E、AF⊥PC于F,连接EF当△AEF的面积最大时,tan∠BPC的值是( )

A. B. C. D.

查看答案和解析>>

科目:高中数学 来源:2014-2015学年江西省赣州市高一下学期期末考试数学试卷(解析版) 题型:解答题

(本小题满分10分)已知定点,直线为常数).

(1)若求实数的值;

(2)以为直径的圆与直线相交所得的弦长为,求实数的值.

查看答案和解析>>

科目:高中数学 来源:2016届江苏省高三第一阶段月考数学试卷(解析版) 题型:填空题

设函数,则实数a的取值范围是 .

查看答案和解析>>

科目:高中数学 来源:2016届吉林省长春市高三质量监测文科数学试卷(解析版) 题型:选择题

中, ,,则的面积为( )

A. B. C. D.

查看答案和解析>>

科目:高中数学 来源:2016届安徽省高三第一次联考理科数学试卷(解析版) 题型:填空题

已知圆的方程为。若过点的直线与此圆交于两点,圆心为,则当最小时,直线的方程为

查看答案和解析>>

科目:高中数学 来源:2014-2015学年东北三省等三校高三第一次模拟文科数学试卷(解析版) 题型:选择题

函数的零点个数为( )

A.9 B.10 C.11 D.12

查看答案和解析>>

科目:高中数学 来源:2014-2015学年山东省潍坊市诸城市四县高二下学期期末理科数学试卷(解析版) 题型:选择题

一名小学生的年龄和身高(单位:cm)的数据如下表:

由散点图可知,身高y与年龄x之间的线性回归方程为,预测该学生10岁时的身高为( )

A.154 B.153 C.152 D.151

查看答案和解析>>

科目:高中数学 来源:2016届重庆市高三10月月考文科数学试卷(解析版) 题型:选择题

“0<a<4”是“命题‘?x∈R,不等式x2+ax+a≥0成立’为真命题”的 ( )

A、充分不必要条件 B、必要不充分条件

C、充要条件 D、既不充分也不必要条件

查看答案和解析>>

同步练习册答案