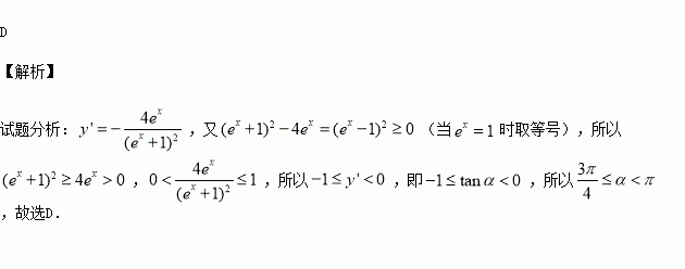
精英家教网 > 高中数学 > 题目详情

已知点在曲线上,为曲线在点处的切线的倾斜角,则的取值范围是

A.[0,) B.

C. D.

练习册系列答案
相关习题

科目:高中数学 来源:2015-2016学年云南省蒙自市高一10月月考数学试卷(解析版) 题型:解答题

已知集合,,且,求的取值范围.

查看答案和解析>>

科目:高中数学 来源:2016届云南师范大学附属中学高三月考四理科数学试卷(解析版) 题型:选择题

若函数,又,且

最小值为,则的值为( )

A. B. C. D.2

查看答案和解析>>

科目:高中数学 来源:2016届重庆市高三12月月考理科数学试卷(解析版) 题型:填空题

内角的对边分别是.若的面积为2,边上的中线长为,且,则中最长边的长为________.

查看答案和解析>>

科目:高中数学 来源:2015-2016学年河北省高一上周考数学试卷(解析版) 题型:选择题

是第三象限的角,则( )

A. B. C.2 D.-2

查看答案和解析>>

科目:高中数学 来源:2015-2016学年内蒙古巴彦淖尔一中高二上期中理科数学卷(解析版) 题型:选择题

已知为椭圆的两个焦点,P在椭圆上且满足,则此椭圆离心率的取值范围是( )

A. B.

C. D.

查看答案和解析>>

科目:高中数学 来源:2016届上海市七校高三上12月联考文科数学试卷(解析版) 题型:填空题

(2015秋•上海月考)已知f(x)=kx﹣|x﹣1|有两个不同的零点,则实数k的取值范围是

查看答案和解析>>

科目:高中数学 来源:2016届陕西省渭南市高三上第三次月考数学试卷(解析版) 题型:选择题

(2012秋•泌阳县校级期末)设点P是曲线上的任意一点,P点处切线倾斜角为α,则角α的取值范围是( )

A.

B.

C.

D.

查看答案和解析>>

科目:高中数学 来源:2016届江苏省南通市高三上第三次调研文科数学试卷(解析版) 题型:解答题

(2015秋•启东市校级月考)设函数x.

(1)求f(x)的单调增区间;

(2)若x∈(0,4),求y=f(x)的值域.

查看答案和解析>>

同步练习册答案