精英家教网 > 高中数学 > 题目详情

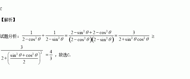
式子的最小值为( )

A. B. C. D.

练习册系列答案
相关习题

科目:高中数学 来源:2015-2016学年山东省高一下期中数学试卷(解析版) 题型:填空题

一个扇形的弧长与面积都是5,则这个扇形圆心角的弧度数为 rad.

查看答案和解析>>

科目:高中数学 来源:2015-2016学年安徽六安一中高一下周末统测十二数学试卷(解析版) 题型:解答题

求值:

(1)

(2).

查看答案和解析>>

科目:高中数学 来源:2015-2016学年安徽六安一中高一下周末统测十一数学试卷(解析版) 题型:解答题

已知 .

(1)若,求证:

(2)设,若,求的值.

查看答案和解析>>

科目:高中数学 来源:2015-2016学年安徽六安一中高一下周末统测十一数学试卷(解析版) 题型:选择题

已知点,则向量方向上的投影为( )

A. B. C. D.

查看答案和解析>>

科目:高中数学 来源:2015-2016学年福建省高一3月月考数学试卷(解析版) 题型:解答题

已知定义在区间上的函数的图象关于直线对称,当时,函数.

(1)求的值;

(2)求的表达式;

(3)若关于的方程有解,那么将方程在取某一确定值时所求得的所有解的和记为,求的所有可能值及相应的取值范围.

查看答案和解析>>

科目:高中数学 来源:2015-2016学年福建省高一3月月考数学试卷(解析版) 题型:填空题

已知函数在区间内至少取得两次最小值,且至多取得三次最大值,则的取值范围是 .

查看答案和解析>>

科目:高中数学 来源:2015-2016学年北大附中河南分校高二普通上期末文数学卷(解析版) 题型:解答题

已知在中:

(1)若三边依次成等差数列,,求三个内角中最大角的度数;

(2)若,求

查看答案和解析>>

科目:高中数学 来源:2015-2016学年重庆十一中高一下期中理科数学试卷(解析版) 题型:选择题

在等差数列中,,公差,则等于( )

A. B. C. D.

查看答案和解析>>

同步练习册答案