精英家教网 > 高中数学 > 题目详情

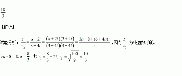
若复数,且为纯虚数,则_______________.

练习册系列答案
相关习题

科目:高中数学 来源:2016届云南省高考复习质量监测六文科数学试卷(解析版) 题型:填空题

某空间几何体的三视图如图所示,则该空间几何体的体积为

查看答案和解析>>

科目:高中数学 来源:2016届海南省高考模拟十文科数学试卷(解析版) 题型:解答题

如图,的一条切线,切点为,直线都是的割线,已知.

(1)若,求的值;

(2)求证:.

查看答案和解析>>

科目:高中数学 来源:2016届海南省高考模拟十文科数学试卷(解析版) 题型:选择题

若向量,且那么等于( )

A.-1 B.1 C.-2 D.2

查看答案和解析>>

科目:高中数学 来源:2015-2016学年西藏日喀则一中高二4月月考理科数学试卷(解析版) 题型:填空题

如图,四棱柱中,底面是矩形,且,若的中点,且.

(1)求证:平面

(2)线段上是否存在一点,使得二面角的大小为?若存在,求出的长;若不存在,说明理由.

查看答案和解析>>

科目:高中数学 来源:2015-2016学年西藏日喀则一中高二4月月考理科数学试卷(解析版) 题型:选择题

是双曲线与圆在第一象限的交点,分别为双曲线左右焦点,且,则双曲线的离心率为( )

A. B. C. D.

查看答案和解析>>

科目:高中数学 来源:2015-2016学年西藏日喀则一中高二4月月考理科数学试卷(解析版) 题型:选择题

若椭圆的离心率为,则双曲线的渐近线方程为( )

A. B. C. D.

查看答案和解析>>

科目:高中数学 来源:2015-2016学年辽宁省高二下期中文科数学试卷(解析版) 题型:选择题

如果的三个内角的余弦值分别等于的三个内角的正弦值,则( )

A.都是锐角三角形

B.都是钝角三角形

C.是钝角三角形,是锐角三角形

D.是锐角三角形,是钝角三角形

查看答案和解析>>

科目:高中数学 来源:2015-2016学年北大附中河南分校高二下期中文科数学试卷(解析版) 题型:填空题

已知,则 ________.

查看答案和解析>>

同步练习册答案