精英家教网 > 高中数学 > 题目详情

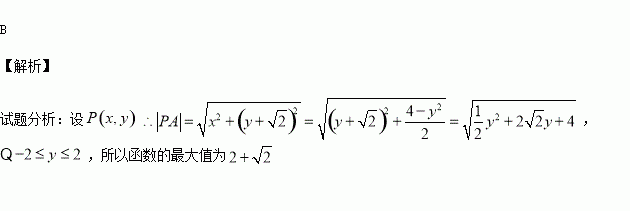
已知点在曲线上,点,则的最大值为( )

A. B. C. D.

练习册系列答案
相关习题

科目:高中数学 来源:2015-2016学年广东省清远市实验学校高二上学期期中数学试卷(解析版) 题型:选择题

在下列各图中,两个变量具有线性相关关系的图是( )

A.(1)(2) B.(1)(3) C.(2)(4) D.(2)(3)

查看答案和解析>>

科目:高中数学 来源:2015-2016学年湖南省高二上学期期中考试理科数学试卷(解析版) 题型:选择题

两灯塔A,B与海洋观察站C的距离都等于a(km),灯塔A在C北偏东30°,B在C南偏东60°,则A,B之间相距( )

A.a (km) B.a(km) C.a(km) D.2a (km)

查看答案和解析>>

科目:高中数学 来源:2015-2016学年福建省高二上学期期中考试理科数学试卷(解析版) 题型:选择题

已知等差数列{an}的前n项和为Sn,若S25=100,则a12+a14为( )

A.4 B.8 C.16 D.不确定

查看答案和解析>>

科目:高中数学 来源:2015-2016学年重庆市高二上第一次月考理科数学试卷(解析版) 题型:解答题

(12分)已知椭圆的左焦点为圆的圆心,且椭圆上的点到点的距离的最小值为

(1)求椭圆的方程;

(2)已知经过点的动直线与椭圆交于不同的两点,点,求的值.

查看答案和解析>>

科目:高中数学 来源:2015-2016学年山东省临沂市高二上期中模拟理数学试卷(解析版) 题型:选择题

已知在△ABC中,三个内角A,B,C的对边分别为a,b,c,若△ABC的面积为S,且,则tanC等于 ( )

A. B. C. D.

查看答案和解析>>

科目:高中数学 来源:2015-2016学年辽宁省大连市高二上期中理科数学试卷(解析版) 题型:填空题

(本小题满分12分)

试推导焦点在轴上的椭圆的标准方程:.

查看答案和解析>>

科目:高中数学 来源:2015-2016学年江西省赣州市十三县高二上期中联考理科数学试卷(解析版) 题型:解答题

(本题12分)

已知中,角,所对的边分别是,且

(1)求的值;

(2)若,求面积的最大值.

查看答案和解析>>

科目:高中数学 来源:2016届重庆市高三上学期第三次月考文科数学试卷(解析版) 题型:选择题

若函数)在处取最小值,则( )

A. B. C. D.

查看答案和解析>>

同步练习册答案