精英家教网 > 高中数学 > 题目详情

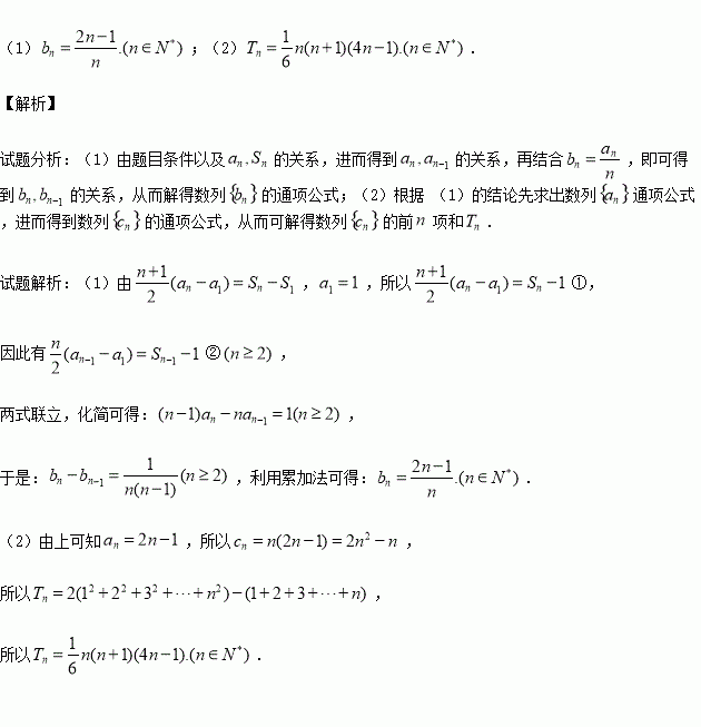
数列项和满足

(1)令,求数列的通项公式;

(2)若数列满足,求数列的前项和.

练习册系列答案
相关习题

科目:高中数学 来源:2016届四川省高三4月模拟三理科数学试卷(解析版) 题型:解答题

,函数为自然对数的底数),且函数的图象与函数的图象在处有公共的切线.

(Ⅰ)求的值;

(Ⅱ)讨论函数的单调性;

(Ⅲ)若在区间内恒成立,求的取值范围.

查看答案和解析>>

科目:高中数学 来源:2016届山东省滨州市高三第二次模拟考试文科数学试卷(解析版) 题型:选择题

已知全集,集合,则集合( )

A. B.

C. D.

查看答案和解析>>

科目:高中数学 来源:2016届山东省滨州市高三第二次模拟考试理科数学试卷(解析版) 题型:选择题

中,为边上的任意一点,点在线段上,且满足,若,则的值为( )

A. B. C. D.

查看答案和解析>>

科目:高中数学 来源:2016届海南省高三考前模拟八文科数学试卷(解析版) 题型:解答题

选修4-1:几何证明选讲

已知:如图圆的两条弦,以为切点的切线交延长线于.

求证:(1)

(2).

查看答案和解析>>

科目:高中数学 来源:2016届海南省高三考前模拟八文科数学试卷(解析版) 题型:选择题

,那么的零点个数有( )

A.个 B.个 C.个 D.的值不同时零点的个数不同

查看答案和解析>>

科目:高中数学 来源:2016届海南省高三考前模拟八文科数学试卷(解析版) 题型:选择题

梯形中,,则( )

A. B. C. D.不能确定

查看答案和解析>>

科目:高中数学 来源:2015-2016学年河北省高一4月月考数学试卷(解析版) 题型:选择题

已知的三个内角,设,若恒成立,则实数的取值范围是( )

A. B. C. D.

查看答案和解析>>

科目:高中数学 来源:2015-2016学年广西陆川中学高一下周测5理科数学试卷(解析版) 题型:选择题

角属于第二象限,且,则角属于( )

A.第一象限 B.第二象限

C.第一象限或第三象限 D.第四象限

查看答案和解析>>

同步练习册答案