精英家教网 > 高中数学 > 题目详情
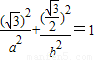
设F1,F2分别是椭圆C:的左右焦点,
(1)设椭圆C上的点到F1,F2两点距离之和等于4,写出椭圆C的方程和焦点坐标
(2)设K是(1)中所得椭圆上的动点,求线段KF1的中点B的轨迹方程
(3)设点P是椭圆C上的任意一点,过原点的直线L与椭圆相交于M,N两点,当直线PM,PN的斜率都存在,并记为kPM,KPN试探究kPM•KPN的值是否与点P及直线L有关,并证明你的结论.
【答案】分析:(1)根据椭圆C上的点到F1,F2两点距离之和等于4,可知2a=4,求得a.把点和a代入椭圆的标准方程,可求得b.进而可得椭圆的标准方程和焦点坐标.
(2)设KF1的中点为B(x,y)则点K(2x+1,2y),把K的坐标代入椭圆的标准方程,可得到x和y的关系式即点B的轨迹方程
(3)设M(x,y),N(-x,-y),p(x,y) 把这些点代入椭圆的标准方程,得到后两式相减可得到的值,然后表示出kPM,KPN后相乘并将的值代入可得到结论.
解答:解:(1)由于点在椭圆上,
2a=4,
椭圆C的方程为
焦点坐标分别为(-1,0),(1,0)
(2)设KF1的中点为B(x,y)则点K(2x+1,2y)
把K的坐标代入椭圆中得
线段KF1的中点B的轨迹方程为
(3)过原点的直线L与椭圆相交的两点M,N关于坐标原点对称
设M(x,y)N(-x,-y),p(x,y)
M,N,P在椭圆上,应满足椭圆方程,


kPM•KPN==-
kPM•KPN的值与点P及直线L无关
点评:本题主要考查椭圆的标准方程和直线与椭圆的综合问题.椭圆在圆锥曲线中所占比重最大,考查的也最多,要强化复习.
练习册系列答案
相关习题

科目:高中数学 来源: 题型:

精英家教网设F1,F2分别是椭圆C:
x2
6m2
+
y2
2m2
=1
(m>0)的左,右焦点.
(1)当P∈C,且
PF1
PF
2
=0
,|PF1|•|PF2|=8时,求椭圆C的左,右焦点F1、F2
(2)F1、F2是(1)中的椭圆的左,右焦点,已知⊙F2的半径是1,过动点Q的作⊙F2切线QM,使得|QF1|=
2
|QM|
(M是切点),如图.求动点Q的轨迹方程.

查看答案和解析>>

科目:高中数学 来源: 题型:

设F1,F2分别是椭圆C:
x2
a2
+
y2
b2
=1(a>b>0)的左、右焦点,且椭圆上一点P(1,
3
2
)
到F1,F2两点距离之和等于4.
(Ⅰ)求此椭圆方程;
(Ⅱ)若直线l:y=kx+m(k≠0)与椭圆交于不同的两点M、N,且线段MN的垂直平分线过定点G(
1
8
,0)
,求k的取值范围.

查看答案和解析>>

科目:高中数学 来源: 题型:

精英家教网设F1、F2分别是椭圆C:
x2
6m2
+
y2
2m2
=1
(m>0)的左、右焦点.
(I)当p∈C,且
pF1
pF
2
=0
|
pF1
|•|
pF
2
|=4
时,求椭圆C的左、右焦点F1、F2的坐标.
(II)F1、F2是(I)中的椭圆的左、右焦点,已知F2的半径是1,过动点Q作的切线QM(M为切点),使得|QF1|=
2
|QM|
,求动点Q的轨迹.

查看答案和解析>>

科目:高中数学 来源: 题型:

设F1,F2分别是椭圆C:
x2
a2
+
x2
b2
=1(a>b>0)的焦点,若椭圆C上存在点P,使线段PF1的垂直平分线过点F2,则椭圆离心率的取值范围是(  )

查看答案和解析>>

科目:高中数学 来源: 题型:

(2013•肇庆二模)设F1,F2分别是椭圆C:
x2
a2
+
y2
b2
=1(a>b>0)
的左右焦点.
(1)设椭圆C上的点(
2
2
3
2
)
到F1,F2两点距离之和等于2
2
,写出椭圆C的方程;
(2)设过(1)中所得椭圆上的焦点F2且斜率为1的直线与其相交于A,B,求△ABF1的面积;
(3)设点P是椭圆C 上的任意一点,过原点的直线l与椭圆相交于M,N两点,当直线PM,PN的斜率都存在,并记为kPN,kPN试探究kPN•kPN的值是否与点P及直线l有关,并证明你的结论.

查看答案和解析>>

同步练习册答案