精英家教网 > 高中数学 > 题目详情
,记
(Ⅰ)写出函数f(x)的最小正周期;
(Ⅱ)试用“五点法”画出函数f(x)在区间的简图,并指出该函数的图象可由y=sinx(x∈R)的图象经过怎样的平移和伸缩变换得到?
(Ⅲ)若时,函数g(x)=f(x)+m的最小值为2,试求出函数g(x)的最大值并指出x取何值时,函数g(x)取得最大值。
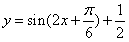
解:(Ⅰ)


(Ⅱ)见下表:

函数的图象见下图:

y=sinx向左平移得到,再保持纵坐标不变,横坐标缩短为原为的变为,最后再向上平移个单位得到
(Ⅲ)


∴m=2,∴
,即时g(x)最大,最大值为
练习册系列答案
相关习题

科目:高中数学 来源: 题型:

a
=(
3
sinx,cosx)
b
=(cosx,cosx)
,记f(x)=
a
b

(1)写出函数f(x)的最小正周期;
(2)试用“五点法”画出函数f(x)在区间[-
π
12
11π
12
]
的简图,并指出该函数的图象可由y=sinx(x∈R)的图象经过怎样的平移和伸缩变换得到?
(3)若x∈[-
π
6
π
3
]
时,函数g(x)=f(x)+m的最小值为2,试求出函数g(x)的最大值并指出x取何值时,函数g(x)取得最大值.

查看答案和解析>>

科目:高中数学 来源:2010-2011学年山东省日照市实验高中高一(下)期末数学复习试卷5(必修3、4)(解析版) 题型:解答题

,记
(1)写出函数f(x)的最小正周期;
(2)试用“五点法”画出函数f(x)在区间的简图,并指出该函数的图象可由y=sinx(x∈R)的图象经过怎样的平移和伸缩变换得到?
(3)若时,函数g(x)=f(x)+m的最小值为2,试求出函数g(x)的最大值并指出x取何值时,函数g(x)取得最大值.

查看答案和解析>>

科目:高中数学 来源:2010-2011学年山东省日照市实验高中高一(下)期末数学练习试卷5(必修3、4)(解析版) 题型:解答题

,记
(1)写出函数f(x)的最小正周期;
(2)试用“五点法”画出函数f(x)在区间的简图,并指出该函数的图象可由y=sinx(x∈R)的图象经过怎样的平移和伸缩变换得到?
(3)若时,函数g(x)=f(x)+m的最小值为2,试求出函数g(x)的最大值并指出x取何值时,函数g(x)取得最大值.

查看答案和解析>>

科目:高中数学 来源:2009-2010学年山东省日照市实验高中高一(下)期末数学练习试卷5(必修3、4)(解析版) 题型:解答题

,记
(1)写出函数f(x)的最小正周期;
(2)试用“五点法”画出函数f(x)在区间的简图,并指出该函数的图象可由y=sinx(x∈R)的图象经过怎样的平移和伸缩变换得到?
(3)若时,函数g(x)=f(x)+m的最小值为2,试求出函数g(x)的最大值并指出x取何值时,函数g(x)取得最大值.

查看答案和解析>>

科目:高中数学 来源:0103 期末题 题型:解答题

,记
(1)写出函数f(x)的最小正周期;
(2)试用“五点法”画出函数f(x)在区间的简图,并指出该函数的图象可由y=sinx(x∈R)的图象经过怎样的平移和伸缩变换得到?
(3)若时,函数g(x)=f(x)+m的最小值为2,试求出函数g(x)的最大值并指出x取何值时,函数g(x)取得最大值。

查看答案和解析>>

同步练习册答案